设为首页    加入收藏

公务员考试省级导航

国家 A安徽 B北京 C重庆 F福建 G广东 广西 甘肃 贵州 H河南 河北 湖南 湖北 黑龙江 海南 J江苏 江西 吉林 L辽宁 N内蒙古 宁夏 Q青海 S山东 山西 陕西 四川 上海 T天津
     X新疆 西藏 Y云南 Z浙江 更详细省市县级导航 公务员考试1000套word版真题打包下载 公务员考试行测电子教材

行测考试大纲必考点、题库高频试题汇总-压中真题已成为一种习惯

系列重要讲话 “十四五”规划 2017年政府工作报告 2017年中央一号文件 十八大报告 中国特色社会主义理论 马克思主义哲学 马克思主义政治经济学 毛泽东思想 宪法 刑法 民法 行政法 诉讼法 合同法 婚姻法 继承法 物权法 人文常识 科技常识 常识判断 定义判断 类比推理 历史常识 逻辑判断 片段阅读 数学运算 图形推理 病句判断 选词填空 主旨概括 资料分析 时事政治

2014年北京公务员考试行测真题及答案详解(完整word版)(八)
2013-12-28 20:16:18 来源:91考试网 作者:www.91exam.org 【
微信搜索关注"91考试网"公众号,领30元,获取公务员、事业编、教师等考试资料40G!
nbsp;

  考察对文章细节信息的把握。从文章最后一句话可得D项正确。故本题答案为D项。

 

  50、正确答案是 A

 

  解析

 

  考察对全文核心意思的理解及概括归纳。文章首先介绍了网络语言的产生原因及特点,随之论述了它的存在与传统媒体的关系,A项较准确的反映了这层意思。故本题答案为A项。

 

  纠错

 

  B、C、D三项不能对文意进行全面概括,意思不够准确,故均排除。

 

  51、正确答案是 C

 

  解析

 

  根据第一段中此后多年,变态反应研究始终将过敏视为一种病态或障碍一句可知,C项表述为该句的同义替换,表述正确。因此,本题答案为C选项。

 

  纠错

 

  A项的一直受到重视在原文中没有体现,为无中生有。根据原文第一段中“‘变态反应这一术语是儿科医生冯·皮尔凯和贝拉·锡克在20世纪初首次提出的“‘过敏症使生理学家查尔士·里歇声名远播并荣膺1913年诺贝尔奖两句可知,B、D项表述错误。

 

  52、正确答案是 A

 

  解析

 

  根据指代就近原则,代词这个问题指代的是前文中提到的问题,即免疫系统为什么会以这种方式对貌似无害、却经常充当过敏原的物质做出反应。换言之,即变态反应的产生机制。因此,本题答案为A选项。

 

  53、正确答案是 B

 

  解析

 

  根据文章第三段所以,与其把变态反应看成对蠕虫目标锁定有误的反应,倒不如视之为一种有益的反应,目的在于防御环境中的有毒物质可知,玛吉·普罗菲特研究的独特之处在于将变态反应视为身体的一种有益反应。因此,本题答案为B选项。

 

  54、正确答案是 D

 

  解析

 

  根据文章第四段“‘毒素假设也无法直接解释面对环境中哪怕是微乎其微的过敏原,肌体为什么有时候会作出如此严重的,潜在致死的过敏反应可知,毒素假设无法解释微量的过敏原会致死这一问题。因此,本题答案为D选项。

 

  55、正确答案是 A

 

  解析

 

  文章前四段介绍了对于变态反应的研究历程以及不同观点理论,并重点介绍了毒素假设的独特之处在于将变态反应视为一种有益反应,最后一段通过转折关联词但是引出文章重点,即反应的好处可能类似于疼痛的好处:疼痛固然给人带来不快,但这种不快会帮助我们避开损害我们肌体的环境原,从而使我们更有幸存的可能。可见作者意在暗示我们,变态反应并非对身体一无是处,它对人的身体还是有一些好处的。因此,本题答案为A选项。

 

  纠错

 

  B项表述错误,在文中没有优劣的对比。C项的主动避免与D项的治疗在文中没有提到。

 

  56、正确答案是 A

 

  解析

 

  根据原文唐代杜牧说,孙武的兵法原有数十万言,曹操削其剩,笔其精粹,以成此书;可知,对《孙子兵法》的观点为在原本上削减而成,对应选项为A。

 

  57、正确答案是 B

 

  解析

 

  根据原文因此班固在《汉书》中把孙武的兵法叫《吴孙子》,把孙膑的兵法叫《齐孙子》可知,本题选B。

 

  纠错

 

  根据竹简本《孙膑兵法》……该兵法在消失了上千年后……可知,是《孙膑兵法》消失了上千年,所以A项错误;根据原文孙武生于春秋末期,孙膑则晚100多年,生于战国……可知《孙子兵法》的作者是孙武,生于春秋而非战国,所以C项错误;根据原文而《齐孙子》(孙膑兵法)在魏晋时已无记载。可知D项错误。

 

  58、正确答案是 A

 

  解析

 

  根据原文这些实物证据揭示了历史上的孙武、孙膑并非一人,也印证了司马迁《史记》中有关孙武、孙膑记载的真实性,《孙膑兵法》确有其书。可知,B、C、D均有提及,而A项《孙膑兵法》的作者是谁并没有提到,所以不能用来证明。选A项。

 

  59、正确答案是 D

 

  解析

 

  根据原文这批竹简经过刮削、烤制而成……银雀山汉简的形制、书写格式、篇题的处理……均符合汉代的简册制度。可知,评判年代的标准有2个:样式内容,归纳即简册的特征,所以选D项。

 

  纠错

 

  A书写文字是简册特征的一个要素,不全面,不选;B项没有提及;C项陪葬物品就是竹简本身不能证明其年代。

 

  60、正确答案是 B

 

  解析

 

  文段结构层次可分为两部分:关于《孙子兵法》与《孙膑兵法》作者的问题、银雀山汉墓竹简的证据。可知文章核心意思就是:银雀山汉墓竹简证明了孙武与孙膑的存在及二者的关系,选择B。

 

  纠错

 

  C项银雀山汉墓《孙子兵法》的发现和破译概括不全,未提及孙膑及《孙膑兵法》,所以不选。

 

  61、正确答案是 B

 

  解析

 

  考察对第一段相应细节信息的把握。文章提出大量的大蓝蝶被制作成了标本,当进入汽车时代到大蓝蝶栖息地更加方便,有的地方大蓝蝶已经绝迹。说明大蓝蝶的灭绝是因为人们捕捉制作标本。故本题答案为B项。

 

  纠错

 

  A项与原文保护区内的大蓝蝶种群灭绝了的内容不符,C项与原文数量稀少,且生活在人迹罕至的荒野的内容不符,D项与原文保护区越来越多,但是大蓝蝶的数量越来越少的内容不符,因此D项可以排除。

 

  62、正确答案是 B

 

  解析

 

  考察对文章相应细节信息的把握。文章第二段大蓝蝶成虫的寿命只有四、五天。故本题答案为B项。

 

  63、正确答案是 D

 

  解析

 

  考察对文章相应细节信息的把握。文章第三段中红蚁蚁后会误以为它是以后将变成蚁后的红蚁幼虫即被红蚁蚁后视为竞争对手,文章第三段中蚁巢规模太小另来一只大蓝蝶幼虫,食物不够。分别对应A、C。故本题答案为D项。

 

  64、正确答案是 C

 

  解析

 

  考察对文章相应细节信息的把握。文章第四段中首句红蚁本身对生活环境也有要求:地上草的高度最好只有2~3厘米。说明对草地的管理是与红蚁的生活环境相关的。故本题答案为C项。

 

  65、正确答案是 A

 

  解析

 

  考察对文章主旨信息的把握。文章第一段中英国建立保护区并且通过法律保护大蓝蝶,但是无济于事即说明前期的措施并没有收到效果,文章第二、三、四段中分析了没有效果的原因:建立保护区后,禁止烧荒、放牧,野草疯长。第五段分析出大蓝蝶需要控制草皮的高度。综合全文前期的措施不但没有保护反而加速了大蓝蝶的消亡。故本题答案为A项。

 

  纠错

 

  B项的画蛇添足指画蛇时给蛇添上脚。比喻做多余不恰当的事,以致弄巧成拙,与原文内容不符。C项操之过急指处理事情或处理问题过于急躁、性急原文没有体现。D鼠目寸光,比喻目光短浅,缺乏远见,与原文不符。

 

  66、正确答案是 A

 

  解析

 

  定位文段的第一段,由从内容和结构来看,法典的核心是财产关系,即所有制的问题。可知对应A项。

 

  67、正确答案是 C

 

  解析

 

  对应文段第一段,由文意可知,他把这部法典称作典型的资产阶级社会的法典的原因是前一句,正如恩格斯所说,它把在消灭了封建专制主义之后刚刚诞生的现代社会的经济生活条件译成了司法法规的语言。即将经济生活条件翻译成为法律语言,强调法律的规范作用;此外,根据文段第一句它第一次把资产阶级的生产关系和社会关系用法律的形式固定下来,可知C项正确。

 

  纠错

 

  A、B和文段没有关系。强干扰项是D项,文段中在消灭了封建专制主义之后在文段中作状语,并非文段的重点,而且文段中没有提及革命任务问题,所以排除D项。

 

  68、正确答案是 B

 

  解析

 

  对应文段第二段,由长期以来,很多人都以为这部法典虽然以拿破仑的名字命名,但他并未直接参与法典的制定,这是误解的具体内容,后面紧接着解释原因原因是拿破仑南征北战、戎马倥偬,根本无暇顾及,他只是颁布命令而已。因此对应B项。

 

  69、正确答案是 D

 

  解析

 

  由第二段他于1799年发动雾月政变成立执政府,翌年就成立了由大理院院长特龙谢、罗马法专家马尔维尔、政府司法行政长官普雷阿梅纳以及海军法院推事波塔四名委员组成的民法起草委员会’”。可知《拿破仑法典》是在雾月政变之后开始起草的,对应D项。

 

  纠错

 

  由第二段内容可知,1799年是建立民法起草委员会起草《拿破仑法典》。由文段法典最后经立法院一致通过,于1804年3月21日正式公布实施。可知,公布实施的时间是1804年,所以A项偷换时态。文段说它最初定名为《法国民法典》而B项是习惯上被称为《法国民法典》这是偷换概念,因此排除B项。根据起草委员会按期完成了民法草案的起草工作,经大理院和上诉院研究修改后,提交参政院讨论修改。法典最后经立法院一致通过,于1804年3月21日正式公布实施。可知通过法典的是立法院,而不是参政院,所以排除C项。

 

  70、正确答案是 A

 

  解析

 

  最后一段首句援引观点,非重点。第二句用英法两国的例子来说明法国因理论充分而改革更加彻底,最后总结全文强调启蒙运动中心在法国的原因也是理论的成熟,所以整个文段都在强调以《拿破仑法典》为代表的理论的先进对于法国的重要意义,也就是《拿破仑法典》的价值,对应A项。

 

  纠错

 

  B项是无中生有项。C项表述片面而且文段强调的是理论的成熟对于法国的影响,因此排除C项。D项法国和英国革命之间有不同是但是之前的内容,并非文段的重点,这句话意在说明的是法国因为理论准备充分使得革命更加彻底,因此排除。

 

  71、正确答案是 B

 

  解析

由于13+23+33+……+n3=1+2+3+……+n2

13+33+53+……+193=13+23+33+……+193-23+43+63+……+183

=1+2+3+……+192-23×(13+23+33+……+93

=-23×(1+2+3+……+92

=-8×=19900

因此,本题答案选择B选项。

 

  因此,本题答案选择B选项。

 

  技巧

 

  公式法

 

  72、正确答案是 C

 

  解析

 

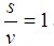
  由于两缆车间距为常数,设为s,缆车的速度为常数,设为v,则两缆车半小时相遇一次,则:s相=2v×0.5,缆车发车间隔为:   。因此,本题答案选择C选项。

 

  技巧

 

  公式法

 

  73、正确答案是 A

 

  解析

 

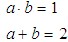
  设池塘的长度为a,宽度为b。赋池塘的面积为1,则除去池塘之外的草坪面积为3,则正方形草坪的面积为4,正方形草坪的边长为2。由题意得:,代入A选项,符合题意。因此,本题答案选择A选项。

 

  技巧

 

  赋值法,代入排除法

 

  74、正确答案是 C

 

  解析

&

Tags:
】【打印繁体】 【关闭】 【返回顶部
下一篇2014年国家公务员考试行测真题及..

网站客服QQ: 960335752 - 14613519 - 791315772