设为首页    加入收藏

公务员考试省级导航

国家 A安徽 B北京 C重庆 F福建 G广东 广西 甘肃 贵州 H河南 河北 湖南 湖北 黑龙江 海南 J江苏 江西 吉林 L辽宁 N内蒙古 宁夏 Q青海 S山东 山西 陕西 四川 上海 T天津
     X新疆 西藏 Y云南 Z浙江 更详细省市县级导航 公务员考试1000套word版真题打包下载 公务员考试行测电子教材

行测考试大纲必考点、题库高频试题汇总-压中真题已成为一种习惯

系列重要讲话 “十四五”规划 2017年政府工作报告 2017年中央一号文件 十八大报告 中国特色社会主义理论 马克思主义哲学 马克思主义政治经济学 毛泽东思想 宪法 刑法 民法 行政法 诉讼法 合同法 婚姻法 继承法 物权法 人文常识 科技常识 常识判断 定义判断 类比推理 历史常识 逻辑判断 片段阅读 数学运算 图形推理 病句判断 选词填空 主旨概括 资料分析 时事政治

2013年广东深圳公务员考试《行测》真题(七)
2016-03-13 07:58:07 来源:91考试网 作者:www.91exam.org 【
微信搜索关注"91考试网"公众号,领30元,获取公务员、事业编、教师等考试资料40G!
主要介绍目前,这一试验结果取得了可喜的成果。A项概括最为全面准确。因此,本题答案为A选项

 

  49.正确答案是 B, 这段文字通过英国报纸举办的一项有奖征答活动,力图告诉读者一种解决问题的思路。重点在于小男孩的答案,他把在环保专家、核专家、粮食专家三者中选一个舍弃的复杂问题,转化为根据体重,最胖的下去的简单问题。这是复杂问题简单化的典范。因此,本题答案为B选项。

 

  50.正确答案是 D, 文段为总——分结构,首句介绍“要证明一个事物的可能,有两条途径”,后文将这两种途径分别作了具体阐述,即“确实存在”和“逻辑存在”。D项概括全面准确。因此,本题答案为D选项。

 

第三部分 数量关系

51.正确答案是 D 原数列两两做差得:45,50,(55)为公差是5的等差数列,所以选项=131+55=186。因此,本题答案选择D选项。

52.正确答案是 B 奇数项:67,55,43,()为公差-12的等差数列,所以选项=43+-12=31,偶数项:4937,25,也为公差为-12的等差数列,因此,本题答案选择B选项。

53正确答案是 B 横排和竖排都成规律;横排数字,1234之间都是相差2;竖排数字,12,34之间都是相差3;所以数字分别是181817。因此,本题答案选择B选项。

54.正确答案是 C 观察数列,可发现:中心数字=左上角×右下角-(左下角+右上角),所以选项=3×6-2+7=9。因此,本题答案选择C选项。       [wAp.91ExAM.ORg]

55. C 原数列两次两两做差得0,2,8,26,(),再两两做差得:2618,(54),为公比是3的等比数列,所以原数列=26+54+47=127。因此,本题答案选择C选项。

56 B 根据题意,甲、乙、丙没有检查过的分别为203040家,这些没有检查过的没有重复,则三人都检查过的最少,所以100-20-30-40=10。答案选B。因此,本题答案选择B选项。

57 C 本题用代入排除法。A选项17的平方为289,不全是偶数,排除A选项;B选项20的平方为400,存在0不符题意,排除B选项;C选项22的平方为484,符合题意。D选项34的平方超过1000,是四位数,不符题意,排除C选项。因此,本题答案选择C选项。

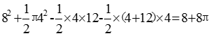
58.正确答案是 C 选取底边中点及半圆形的中点,图中阴影面积=正方形面积+半圆形面面积-三角形面积-梯形面积= 。因此,本题答案选择C选项。

59.正确答案是 A 设方阵每行有N人,减少一行和一列,减少319人,可得2N-1=319N=160;根据方阵的最外围人数公式:最外层人数=4N-1),所以4N-4=640-4=636。因此,本题答案选择A选项。

60. A 三角形AEC经过7秒后变为三角形ADE;三角形AEC的面积=数列首项=a1= ;则两者的公差d=a8-a1/7=7。因此,本题答案选择A选项。

61.正确答案是 B 甲金属在水里减轻  的重量,则甲为11的倍数,同理乙为9的倍数,所以,甲=110、乙=90,代入验证符合条件,所以相差110-90=20。因此,本题答案选择B选项。

62.正确答案是 B 设五个自然数为abcde,则可以得到 (2a+b+2c+d+2e)=114,则a+cb+dc+e,所以b+d的大小一定介于2236之间,b+d114-2(a+c+e)b+d一定是偶数,所以b+d=28,所以a+e173928=28。因此,本题答案选择B选项。

63.正确答案是 A 设速度为v,又因为,他上班的在途时间只需原来时间的 ,所以赋值原来的时间为5,则加速后的时间为4S=5v=4v+3),可得v=12S=60;减速后的速度为12-3=9,时间为60/9,则 。因此,本题答案选择A选项。

64.正确答案是 A 合成的是边长8厘米的正方体,被刷上两个面以上的肯定是正方体棱上的,但是每条棱上的2个顶点都是连的三个面,所以每条棱上刷两面的8-2=6;正方体共有12条棱,则刷两面的共有12×6=72。因此,本题答案选择A选项。

65. A B溶液浓度为a,则A溶液浓度为5a;混合后溶液为15%(50×5a+250a)/(50+250)=15%,解得a=9%,则A的浓度5a=45%。因此,本题答案选择A选项。

第三部分 图形推理

66. A 考查元素的转换。1个三角形=1个小黑圆,1个正方形=2个小黑圆,第一组图包含的小黑圆的个数为246,第二组图包含的小黑圆的个数为357,正确答案为A.

67. A 第一组图中的三个图形都包含月亮形的图形,第二组图的前两个图形也包含有月亮形的图形,所以正确答案为A

68. D 题干中的所有图形都关于横轴对称,正确答案为D

69. A 题干中的所有图形都只有一个封闭空间。正确答案为A

70 D 前一个图形中的大图形变成后一个图形中的小图形,而且小图形都位于大图形的右侧。正确答案为D

71.正确答案是 B 观察五个事件,说的是要实现可持续发展的方法,故(5)为首句,排除CD。(2)和(4)是恰好是(1)的解释,所以(2)和(4)应该在(1)之后。正确答案为B

72. C 观察选项,首句是(2)或(5),比较这两句,应该是先研究行业发展趋势之后才研发出新型产品,(5)作首句比较合适,排除AB。比较(1)和(4),应该先攻克难题,再将其应用到系列产品上,故(1)在(4)之前。正确答案为C

73 B 观察选项,首句在(1)和(4)中,先有化工厂排放污水,河水化学需氧量浓度才会超标,(4)作首句,排除CD。化工厂排放污水引发的直接结果是河水化学需氧量浓度超标,接着才会有鱼虾死亡、引起重视、整改等动作。正确答案为B

74.正确答案是 A 出自北宋词人苏轼的《水调歌头》;(2)出自初唐诗人王勃的《滕王阁序》;(3)出自南宋军事家岳飞的《满江红》;(4)出自盛唐诗人李白的《将进酒》;(5)出自元代作家马致远的《天净沙·秋思》。按照作者所在朝代的先后顺序,正确的顺序为2—4—1—3—5。正确答案为A

75. D 均田制发生在北魏时代,(2)班超出使西域发生在东汉时期,(3)巨鹿之战发生在秦末时期,(4)蔡伦改进造纸术发生在东汉时期,(5)两税法实行发生在唐朝。按照时间先后顺序,应该是3—2—4—1—5。正确答案为D

76.正确答案是 B 本题的论点是证明动物预报地震确实是由于空气中的电荷,那么这种电荷要跟动物的反应联系起来,B选项连接论点与论据,起到了搭桥的作用。

77.正确答案是 D 题目的关键词在于被继承人的死亡子女的晚辈直系血亲D选项符合,为答案。

78.正确答案是 C C项强调广告总量支出是常量,意味着世界杯不会增加广告费,因此,不会增加消费者负担,同时,世界杯的广告收入能降低票价。

79.正确答案是 A 根据题干信息ABC都不洗水果,则洗水果;ACD都不复习功课,则B项复习功课;再由(3)可以推出 A上网;剩下的C在画画。故答案是A选项。

80.正确答案是 A 题干中的推论是:烟草公司通过提高产品的价格来抵消因不扣除广告费用而多缴的税金。要想使推论成立,需要添加的前提是烟草公司没有别的办法来抵消多缴的税金,A项是必需的前提。否则,如果烟草公司还有其他方式来抵消多缴的税金,那么就不会被迫用提高产品价格的方法。正确答案为A

81. B B项指出骗子用这样的方法还是能够骗到人的,可以说明他们并不愚蠢。正确答案为B

82.正确答案是 D 题目中的论证是:服用K素和不服用K素的两组病人死亡人数相同,因此这种药物是无效的。B项和D项,一个是说平均寿命,一个是说平均死亡年份,如果D项为真,说明药物是有效的,能缓解病情,延长生命时间,而平均寿命可能跟生病前的情况相关。故正确答案为D

83.正确答案是 D 汇编作品的关键词是:编排出的作品体现独创性,ABC三项都具有独创性,D项的列车时刻表不能体现独创性,故正确答案为D

84.正确答案是 B 四个人中只有一个人说的是假话,而钱说的话和李说的话必有一真一假,所以,赵和孙的话都是真话,这个统计表是钱做的。正确答案为B

85.正确答案是 C 根据条件(3)可知,徐某不可能单独作案,所以王某和吴某两人中至少有一人作案,假设吴某不是罪犯,根据条件(2)可知,王某也不是罪犯,不符合题意,所以吴某肯定是罪犯,王某和徐某的情况不能确定。正确答案为C

 

第四部分 资料分析

 

86.年末25座大型水库蓄水总量68.9亿立方米,所以平均每座大型水库蓄水=68.9/25=2.756。因此,本题答案为C选项。

87.正确答案是 B 根据2009年人均拥有水资源量2557立方米,减少17.0%。人均用水量为538立方米,增长1.1%。本题答案为B选项。

88.正确答案是 A 根据自然保护区总面积达10310平方公里,占全省土地面积6.2%,所以江西省土地面积为10310/6.2%=166290.3,因此,本题答案为A选项。

89C根据道路交通事故4262,工矿商贸事故199起,铁路交通事故88起,水上交通事故7起,火灾事故5889起,火灾最多,因此,本题答案为C选项。

90.正确答案是 D A选项:根据材料:对环境空气质量进行监测的11个设区市城区环境空气质量全部达到二级(达标),所以A选项正确;

B选项:根据材料:万元生产总值电耗622.5千瓦时,下降1.5%,所以B正确。

C选项:年末已建有自然保护区172个,其中国家级自然保护区8个,所以C选项正确;

D选项:全年生产安全事故10577起。其中,道路交通事故4262,工矿商贸事故199起,铁路交通事故88起,水上交通事故7起,火灾事故5889起,明显火灾事故次数最多,所以火灾所占比重最大。所以D选项错。因此,本题答案为D选项。

91.正确答案是 C 由材料得出,2003年科学支出是300.8亿元。因此,本题答案为C选项。

92.正确答案是 D 2000年的总量=277.2+189+61.5+47.9=575.62011年的总量=359.6+223.1+63.4+57.2=703.3万元,所以增长了:(703.3-575.6/575.6≈700/580,直除两位为22,因此,本题答案为D选项。

93.正确答案是 C 增长率=现期量/基期量-1,即比较63.4/61.5=1.0370/63.4=1.10111.1/70.4=1.58169.2/111.1=1.52,所以最多的为2003年,因此,本题答案为C选项。

94.正确答案是 C 

Tags:
】【打印繁体】 【关闭】 【返回顶部
下一篇2012年上半年广东深圳市公务员录..

网站客服QQ: 960335752 - 14613519 - 791315772