微信搜索关注"91考试网"公众号,领30元,获取公务员、事业编、教师等考试资料40G!
微子在宇宙中的重要作用,随后指出中微子由于无质量无电荷的特点使其运动轨迹不变,而这稳定的运动轨迹恰恰可以让中微子告诉大家他来自宇宙的哪里,故C项“宇宙的使者”中的“使者”一词很好的解释了中微子的作用,当选。
A项没有主题词,不符合标题填入的原则,排除。
B项的特立独行侧重特殊性,表述相较于C而言不够准确,且没有体现出中微子的作用,排除。
D项“触不可以”在原文中并未体现,与文意不符,排除。故正确答案为C。
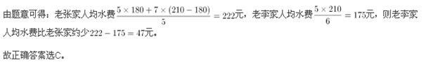
43. C,
本段文字围绕“空间”这一话题进行阐述,首句指出空间的重要性体现在各个层面,后文以一句“这是以......等多种形式表现出来的”作为解释说明,再一次强调其重要性所在,故C项体现了文段的重点。
A项表述片面,是空间重要性的一个体现,排除。B项是后文解释说明的内容,并非重点,排除。D项无中生有,排除。故正确答案为C。
44. A,
本题为中心理解题,文段以“此外”为标志词,是典型的并列结构。“此外”前阐述了海洋开发活动中各项产业既要依靠海域、流域,也需要陆域参与;“此外”后阐述了现代海洋高新技术推动下,不仅海洋科技得以发展,也促进流域、陆域等技术的发展,故总结并列前后分句可得正确答案为A。
B、D项阐述主体为“现代科技的发展”,为并列后半部分内容,表述片面,排除;C项的“互相交错”没有体现出两者的互相依赖和促进之意,不如A项表述准确,排除。故正确答案为A。
45. A,
文段开头介绍沉积物基准这一概念,并指出其对评价沉积物污染、生态风险、湖泊生态环境有重要的作用,后文通过转折词指出了存在的问题,即没有形成完善、统一的体系和规范,故选项需基于原文给出解决问题的对策,即需要建立完善的沉积物基准体系。A项“弥补沉积物基准体系的不足”属于对策类表述,符合文段主旨,当选。
B项中“未成体系”表意过重,文中只表述未形成完善和统一的体系,并非没有体系。
C项是文段前半部分论述的沉积物基准体系的重要性,然而后半部分的问题才是文段重点所在,排除。
D项的“较多进展”为转折前内容,非重点,排除。故正确答案为A。
46. A,
A工程队的效率是B工程队的2倍,可以赋值A队效率为2,B队效率为1,此时工程总量为6×(2+1)=18。如果两队的工作效率均提高一倍,A队效率即为2×(1+1)=4,B队效率为1×(1+1)=2。设A队休息t天,则有4×(6-t)+2×(6-1)=18,解得t=4。故正确答案为A。
47. A,
原有职工110人,其中技术人员是非技术人员的10倍,可知二者人数之比为10:1,总数共为11份,每份10人,可以得到非技术人员为1份10人,技术人员为10份100人。招聘后,两类人员的人数之比未变,即新招聘的技术人员是非技术人员的10倍,可以设新招聘的非技术人员为x,则技术人员为10x,则有100+10x-(10+x)=153,解得x=7。
故正确答案为A。
48.C

49. B,
由题意可得,商品每降价1元销量增加5个。上午商品打八折出售,下午商品在上午价格的基础上再打八折,列表可得:
故正确答案为B。
50. D,
由题意音乐系男女人数之比为1:3,则可得到音乐系男生人数占音乐系总人数的1/(1+3)=25%,同理美术系男生占美术系总人数比为2/(2+3)=40%,则两系人数混合后男生占总人数的比为30%,由线段法可知:
故正确答案为D。
51. C,
假设每张桌子、凳子、椅子的所需工作量分别为a、b、c,木匠每小时的效率为1,则2a+4b=10×1、4a+8b=22×1,化简得到①a+2b=5,②a+2c=5.5,①+②=2a+2b+2c=10.5,则10(a+b+c)=52.5,所需时间t=52.5÷1=52.5小时。
故正确答案为C。
52. D,
由2014年父母年龄之差是儿子年龄的,可得儿子年龄是5的倍数,而儿子5年后年龄也必然是5的倍数,而5的倍数且为平方数的只能为25,则可得到现在儿子的年龄为20岁,年龄差即为20×=4岁,年龄和为4×23=92岁,则父亲年龄+母亲年龄=92,|父亲年龄-母亲年龄|=4,假设父亲年龄比母亲年龄大,则可得父亲年龄-母亲年龄=4,联立求解可得父亲年龄=48,母亲年龄=44,此时母亲年龄五年后为49岁,是平方数,满足条件。故父亲年龄为48岁。故正确答案为D。
53.A

54. B,
一环形跑道上画了100个标记点,赋值标记点的间隔1米,根据环形植树公式,环形跑道全长=100×1=100米。某人跑了半圈,即跑了50米,此时要经过的标记点最多,就从一个标记点出发,最多能经过的标记点=+1=51。
故正确答案为B。
55. A,
小蚂蚁从A点到B点的过程中,三角形AED的底为AD,长度不变,高AE随着小蚂蚁向上爬而增长,故三角形AED的面积随时间增长(如图1所示);小蚂蚁从B点到C点的过程中,三角形AED的底为AD,长度不变,高为正方形的边长10cm,也不变,故三角形AED的面积不随时间变化一直相等(如图2所示);小蚂蚁从C点到D点的过程中,三角形AED的底为AD,长度不变,高DE随着小蚂蚁向下爬而减少,故三角形AED的面积随时间减少(如图3所示)。只有A项符合三角形AED面积随时间先增长,再不变最后减小的趋势。
56. B,
本题组成图形较为相似,优先考虑样式。题干中每幅图形均有两个形状组成,一里一外。第2幅图外面的图形形状与第1幅图里面的图形形状一致,第3幅图外面的图形形状,与第2幅图里面的图形形状一致,……即:后一幅图外面的图形形状与前一幅图里面的图形形状一致,由此规律可得,问号处外面的图形形状应为正方形,排除AC;图形存在黑、白、阴影三种颜色,从颜色入手,外图形颜色分别为白、阴影、白、阴影、白、?,问号处应为阴影,排除D选项;内部图形的颜色分别为黑、白、阴影、黑、白、?,问号处应为阴影, B项仍然符合此规律。故正确答案为B选项。
57. D,
本题图形组成相同,但无明显的位置移动规律,考虑图形间的相对位置。观察发现①③⑤图形中,正方形均在一个大图形内部,②④⑥中正方形均在两个图形相交的区域内。且①③⑤中三角形都在矩形和圆相交的区域内,②④⑥中三角形都在两个矩形相交的区域内。故正确答案为D选项。
58. C,
本题属于位置类,主要考察旋转与翻转的区别。使用时针法,按照1-2-3的顺序。

①③④三个图形为顺时针,②⑤⑥三个图形为逆时针。因此本题选择C选项。
59. B,
元素组成相同,考虑位置规律。横向观察发现“○”绕着三角形的边逆时针每次移动一条边,因此?处的“○”应在三角形下面的那条边上,排除C、D,观察A、B选项发现,“○”所处的位置不同,一个在三角形外部,一个在三角形内部,因此应考虑两个元素之间的位置关系。经观察发现前两行中都有两个图形“○”位于三角形内部,一个图形“○”位于三角形外部,因此?处的“○”应于三角形的内部,排除A选项;故正确答案为B。
60. C,
选项可知,五角星面是一个特殊的面,由第一个图形可以发现五角星黑色尖端部位所指向的面是“○”的面,选项A中五角星黑色尖端部位所指向的面是“\”面,排除;选项B中五角星黑色尖端部位所指向的面是“□”面,排