微信搜索关注"91考试网"公众号,领30元,获取公务员、事业编、教师等考试资料40G!
因此,本题答案为A选项。
52、在市场经济条件下,企业要想达到自身获利的目的,必须首先生产或提供对他人有价值的东西。如果企业置他人利益于不顾,采取欺骗的手段进行不正当交换,不仅不被社会容忍,而且要受到法律惩罚。市场经济内在地要求企业遵循诚信、公平、负责等交换准则。这些交换准则,内含着维系和推动企业发展的道德力量。换言之,不具备道德力的企业、不对他人或社会负责任的企业,终将被淘汰出局。这段文字意在说明()。
A.提升企业道德力,是市场经济健康发展的内在要求
B.提升企业道德力,是为了增强企业责任感和使命感
C.提升企业道德力,是现代企业持续发展的必要条件
D.提升企业道德力,是企业避免受到法律惩罚的手段
参考答案:C
本题解析:本题属于意图判断题。由文段尾句“不具备道德力的企业,不对他人或社会负责的企业,终将被淘汰出局”可知,作者意在强调现代企业要想实现持续发展,必须提升企业的道德力。因此,本题答案为C选项。
53、暂无
参考答案:
本题解析:
54、暂无
参考答案:
本题解析:
55、暂无
参考答案:
本题解析:
56、暂无
参考答案:
本题解析:
57、暂无
参考答案:
本题解析:
58、暂无
参考答案:
本题解析:
59、暂无
参考答案:
本题解析:
60、暂无
参考答案:
本题解析:
第3部分数量关系
61、A、B两桶中共装有108公斤水。从A桶中取出1/4的水倒入B桶,再从B桶中取出1/4的水倒入A桶,此时两桶中水的重量刚好相等。问B桶中原来有多少公斤水?()
A.42
B.48
C.50
D.60
参考答案:D
本题解析:代入排除思想。由题意,最后两桶水中各有54公斤水。代入D项60。则A桶原有水量为48公斤,48×1/4=12,12+60=72,72×1/4=18,72-18=54,满足题意。
62、一个班有50名学生,他们的名字都是由2个或3个字组成的。将他们平均分为两组之后,两组的学生名字字数之差为10。此时两组学生中名字字数为2的学生数量之差为()。
A.5
B.8
C.10
D.12
参考答案:C
本题解析:不定方程问题。由题意两组学生名字字数相差10,两边人数相同,即其中一组比另一组三名字人数多10人,则2名字人数少10人。
63、某单位今年一月份购买5包A4纸、6包B5纸,购买A4纸的钱比B5纸少5元;第一季度该单位共购买A4纸15包、B5纸12包、共花费510元;那么每包B5纸的价格比A4纸便宜()。
A.1.5元
B.2.0元
C.2.5元
D.3.0元
参考答案:C
本题解析:

64、有100人参加运动会的三个比赛项目,每人至少参加一项,其中未参加跳远的有50人,未参加跳高的有60人,未参加赛跑的有70人。问至少有多少人参加了不止一个项目?()
A.7
B.10
C.15
D.20
参考答案:B
本题解析:最值问题。由题意,参加跳远的人数为50人,参加跳高的为40人,参加赛跑的为30人;即参加项目的人次为120人次;故欲使参加不止一项的人数最少,则需要使只参加一项的人数最多为x,参加3项的人数为y;故x+3y=120,x+y=100,解得y=10。
65、某商场开展购物优惠活动:一次购买300元及以下的商品九折优惠;一次购买超过300元的商品,其中300元九折优惠,超过300元的部分八折优惠。小王购物第一次付款144元,第二次又付款310元。如果他―次购买并付款,可以节省多少元?()
A.16
B.22.4
C.30.6
D.48
参考答案:A
本题解析:统筹优化问题。由题意,第一次付款144元可得商品原价为160元;第二次付款为310元可得原价为350元。故总价510元,按照优惠,需付款300×0.9+210×0.8=438(元),节省了454-438=16(元)。
66、小张、小王二人同时从甲地出发,驾车匀速在甲乙两地之间往返行驶。小张的车速比小王快,两人出发后第一次和第二次相遇都在同一地点,问小张的车速是小王的几倍?()
A.1.5
B.2
C.2.5
D.3
参考答案:B
本题解析:

67、某种密码锁的界面是一组汉字键,只有不重复并且不遗漏地依次按下界面上的汉字才能打开,其中只有一种顺序是正确的。要使得每次对密码锁进行破解的成功率在万分之一以下,则密码锁的界面至少要设置多少个汉字键?()
A.5
B.6
C.7
D.8
参考答案:D
本题解析:

68、

参考答案:C
本题解析:

69、60名员工投票从甲、乙、丙三人中评选最佳员工,选举时每人只能投票选举一人,得票最多的人当选。开票中途累计,前30张选票中,甲得15票,乙得10票,丙得5票。问在尚未统计的选票中,甲至少再得多少票就一定当选?()
A.15
B.13
C.10
D.8
参考答案:B
本题解析:最值问题。构造最不利,由题意,还剩30名员工没有投票,考虑最不利的情况,乙对甲的威胁最大,先给乙5张选票,甲乙即各有15张选票,其余25张选票中,甲只要在获得13张选票就可以确定当选。
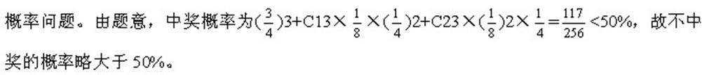
70、某次抽奖活动在三个箱子中均放有红、黄、一绿、蓝、紫、橙、白、黑8种颜色的球各一个,奖励规则如下:从三个箱子中分别摸出一个球,摸出的3个球均为红球的得一等奖,摸出的3个球中至少有一个绿球的得二等奖,摸出的3个球均为彩色球(黑、白除外)的得三等奖。问不中奖的概率是多少?()
A.在0~25%之间
B.在25~50%之间
C.在50~75%之间
D.在75~100%之间
参考答案:C
本题解析:

71、早上7点两组农民开始在麦田里收割麦子,其中甲组20人,乙组15人。8点半,甲组分出10人捆麦子;10点,甲组将本组所有已割的麦子捆好后,全部帮乙组捆麦子;如果乙组农民一直在割麦子,什么时候乙组所有已割的麦子能够捆好?(假设每个农民的工作效率相同)()
A.10:45
B.11:00
C.11:15
D.11:30
参考答案:B
本题解析:工程问题。采用赋值法,赋值每个农民割麦子的效率为1,由题意,甲组割麦子的总量为20×1.5+10×1.5=45,故每个农民捆麦子的效率为45÷1.5÷10=3;设从10点之后经过x小时,乙组的麦子全部捆好。故乙组割麦子的总量为15×(3+x),捆麦子总量为20×3×x,二者应该相等,解得x=1(小时);故11:00时麦子可以全部捆好(最后一步可以采用代入排除)。
72、出租车队去机场接某会议的参会者,如果每车坐3名参会者,则需另外安排一辆大巴送走余下的50人;如每车坐4名参会者,则最后正好多出3辆空车。问该车队有多少辆出租车?()
A.50
B.55
C.60
D.62
参考答案:D
本题解析:方程问题。设有x辆出租车,由题意列方程:3x+50=4(x-3),解得x=62。
73、某产品售价为67.1元,在采用新技术生产节约10%成本之后,售价不变,利润可比原来翻一番。则该产品最初的成本为_______元。
A.51.2
B.54.9
C.61
D.62.5
参考答案:C
本题解析:本题可采用方程法。设该产品最初的成本为元。由题意得:67.1-0.9x=2(67.1-x),解得x=61。因此该产品最初的成本为61元。
74、孙儿孙女的平均年龄是10岁,孙儿年龄的平方减去孙女年龄的平方所得的数值,正好是爷爷出生年份的后两位,爷爷生于上个世纪40年代。问孙儿孙女的年龄差是多少岁?()
A.2
B.4
C.6
D.8
参考答案:A
本题解析:代入排除思想。代入A项,若相差2岁,则孙儿孙女分别为9岁和11岁,11×11-9×9=40,满足题意。
75、某三年制普通初中连续六年的在校生人数分别为:X1,X2,X3,X4,X5,X6。假设该校所有学生都能顺利毕业,那么前三年的入学学生总数与后三年的入学学生总数之差为()。
A.(X1+X2+X3)-(X4+X5+X6)
B.X1-X4
C.X3-X6
D.(X3-X1)-(X6-X4)
参考答案:C
本题解析:考查整体思维。前三年入学学生人数本质上就是第三年的在校生人数X3(第三年在校生的初三、初二、初一分别为前三年的入学人数),类似的,X6即为后三年的入学人数。故答案为X3-X6。
第4部分判断推理
76、从所给的四个选项中,选择最合适的一个填入问号处,使之呈现一定的规律性:

参考答案:B
本题解析:本题为数量类。考察曲线数,题干为0、1、2、3,因此应选择4条曲线,答案B。
77、从所给的四个选项中,选择最合适的一个填入问号处,使之呈现一定的规律性:

参考答案:A
本题解析:本题为数量类。考察元素种类。每个图都有4中元素,并且每组图中都有五角星。
78、从所给的四个选项中,选择最合适的一个填入问号处,使之呈现一定的规律性:

参考答案:B
本题解析:题干每幅图形中直线的数量都为3,且内部图形与外部图形的交点数都为3。因此,本题选择B选项。
79、以下为立方体的外表面,下列哪个立方体可以由此折成?

参考答案:C
本题解析:B项,右侧面应为三角斜纹;C项,正面的黑点应在左上角;D项,右侧面应为带白色方框的面。只有A项可以折成,本题选C。
80、从所给的四个选项中,选择最合适的一个填入问号处,使之呈现一定的规律性:

参考答案:A
本题解析:在第一行中,第一个图叠加第二个图为第三个图,第二行也满足此规律,所以第三行的前两个图叠加为A项。因此,本题选择A选项。
81、心理契约是指个体与组织之间隐含的没有明文规定的双方各自的责任及对对方的期望。根据上述定义,下列属于建立心理契约的措施是()。
A.为提高员工积极性,每月业绩最好者能享受双薪
B.为解决员工后顾之忧,与优秀员工签订终身合同
C.为吸引优秀人才,承诺为员工提供购房免息借款
D.结合企业的发展蓝图,为员工提供职业生涯设计
参考答案:D
本题解析:心理契约的一个重要特点是“没有明文规定”。A项提供双薪、B项签订合同、C项承诺提供免息借款都属于明示的、双方明确约定的情况。D项通过为员工提供职业生涯设计,使员工与企业发展结合在一起,企业能与员工达成并维持一份动态平衡的“心理契约”。因此只有D项符合题目要求。
82、临终关怀是指为临终患者提供医疗、护理、心理、社会等多方位的关怀照顾。使每个患者的生命受到尊重,症状得到控制,生命质量得到提高。根据上述定义,下列不属于临终关怀的是()。
A.老赵肝癌晚期,医生尽最大努力进行治疗,不惜一切代价延长其生命
B.老王肾衰竭晚期希望回到故乡,他在接受疼痛处理后被同意出院
C.老李白血病晚期,医生对他进行保守治疗,配合适当的绘画与音乐治疗
D.老刘胃癌晚期,某大学组织志愿者每天陪他聊天
参考答案:A
本题解析:定义的关键信息是“生命受到尊重,症状得到控制,生命质量得到提高”,A项只是延长生命,但是生命质量是否提高,没有涉及,故不属于临终关怀。B、C、D项中,患者的生命质量均有所提高。故本题选A。
83、自白任意性规则是指只有基于犯罪嫌疑人自由意志而作出的、承认有罪的真实陈述,才具有证据能力。根据上述定义,下列符合自白任意性规则做法的是()。
A.为避免犯罪嫌疑人有做出虚假陈述,应中止讯问
B.犯罪嫌疑的有罪陈述须与收集到的证据材料一致
C.犯罪嫌疑人主张自己无罪,可以不承担举证责任
D.以从轻处罚为条件,换取犯罪嫌疑人的有罪答辩
参考答案:C
本题解析:关键词是:自由意志。A选项提出终止询问。B选项提到材料一致。D选项诱以从轻发落,都与自由意志相悖。C选项免除犯罪嫌疑人对无罪主张的举证责任,从而使犯罪嫌疑人能放心陈述,体现了自由意志。因此,本题选择C选项。
84、印记学习是指发生在动物生活的早期阶段、由直接印象形成的学习行为,印记学习行为虽发生在早期,但对晚期行为也具有一定影响。根据上述定义,下列不属于印记学习行为的是()。
A.绵羊走近并试图留在喂养过它的主人身边
B.由人喂养大的斑马雀会向主人的手指求偶
C.母羊用舌舐小羊的方式来标记自己的后代
D.刚出生的绿头鸭跟随着一个移动的物体走
参考答案:C
本