微信搜索关注"91考试网"公众号,领30元,获取公务员、事业编、教师等考试资料40G!
1、选择题 如图为一个质量为m、带电量为+q的圆环,可在水平放置的足够长的粗糙细杆上滑动,细杆处于磁感应强度为B的匀强磁场中。现给圆环向右初速度v0,在以后的运动过程中,圆环克服摩擦力所做的功可能为

[? ]
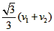
A.0
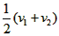
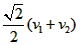
B.
C.
D.无法确定
2、简答题 如图所示,在xoy坐标系第一象限内有一半径为R的半圆形匀强磁场,圆心为O′,在第二象限内有一平行板电容器,其下极板恰好与x轴重合,平行板右端与y轴相齐.已知平行板内存在相互正交的匀强电场和匀强磁场,电场的场强为E,磁场的磁感应强度为B.有一质量为m,带电量为q的带电粒子(其重力不计),沿平行于x轴的方向从P点射入电容器,且恰好作直线运动,后又进入第一象限的半圆形磁场,最后由O′点垂直x轴射出.求:
(1)带电粒子的速度v;
(2)半圆形磁场的磁感应强度B′.

3、选择题 地磁场对地球有保护作用,一束带负电的宇宙射线,垂直地球赤道由上而下运动,关于宇宙射线的旋转方向的下列说法正确的是( )
A.向东
B.向西
C.向南
D.向北
4、选择题 在x轴上方有垂直于纸面的匀强磁场,同一种带电粒子从O点射入磁场。当入射方向与x轴的夹角α=450时,速度为v1、v2的两个粒子分别从a、b两点射出磁场,如图所示。当α为600时,为了使粒子从ab的中点c射出磁场,则速度应为( ? )

A.
B.
C.
D.
5、选择题 两个电荷量相等的带电粒子,在同一匀强磁场中只受磁场力作用而做匀速圆周运动。下列说法中正确的是( ? )
A.若它们的运动周期相等,则它们的质量相等
B.若它们的运动周期相等,则它们的速度大小相等
C.若它们的轨迹半径相等,则它们的质量相等
D.若它们的轨迹半径相等,则它们的速度大小相等