微信搜索关注"91考试网"公众号,领30元,获取公务员、事业编、教师等考试资料40G!
1、选择题 如图所示,圆形区域内有垂直于纸面向里的匀强磁场,一个带电粒子以速度v从A点沿直径AOB方向射入磁场,经过Δt时间从C点射出磁场,OC与OB成600角。现将带电粒子的速度变为v/3,仍从A点射入磁场,不计重力,则粒子在磁场中的运动时间变为

A.
B.2Δt
C.
D.3Δt
参考答案:B
本题解析:
设有界圆磁场的半径为R,带电粒子的做匀速圆周运动的半径为r,OC与OB成600角,所以∠AO1C=60°,带电粒子做匀速圆周运动,从C点穿出,画出轨迹,找到圆心O1,中
,即
,带电粒子在磁场中飞行时间
,现将带电粒子的速度变为v/3,则带电粒子的运动半径
,设带电粒子的圆心角为
,则
,故
,运动时间
,所以
,选项B正确。
本题难度:一般
2、选择题 如图所球,长方体容器的三条棱的长度分别为a、b、h,容器内装有NaCl溶液,单位体积内钠离子数为n,容器的左右两壁为导体板,将它们分别接在电源的正、负极上,电路中形成的电流为I,整个装置处于垂直于前后表面的磁感应强度为B的匀强磁场中,则液体的上、下两表面间的电势差为(?)

A.0
B.
C.
D.
参考答案:A
本题解析:容器中的电流从左向右流动,正负离子的定向移动方向完全相反,根据左手定则,可知正负离子都向上偏转,刚液体上下表面间的电势差为零,故只有A正确。
本题难度:简单
3、选择题 如图所示,在正方形区域abcd内有方向垂直于纸面向里、磁感应强度大小为B的匀强磁场。在t=0时刻,位于正方形中心O的离子源向平面abcd内各个方向发射出大量带正电的粒子,所有粒子的初速度大小均相同,粒子在磁场中做圆周运动的半径恰好等于正方形的边长,不计粒子的重力以及粒子间的相互作用力。已知平行于ad方向向下发射的粒子在t=t0时刻刚好从磁场边界cd上某点离开磁场,下列说法正确的是

A.粒子在该磁场中匀速圆周运动的周期为6t0
B.粒子的比荷为
C.粒子在磁场中运动的轨迹越长,对应圆弧的圆心角越大
D.初速度方向正对四个顶点的粒子在磁场中运动时间最长
参考答案:BC
本题解析:粒子周运动的半径如图所示,根据几何关系有
,得圆心角
,那么圆周运动的周期
选项A错。带电粒子在匀强磁场中做匀速圆周运动的周期
,带入可得粒子比荷
选项B对。所有粒子圆周运动半径相同,圆心角
,所以轨迹越长,对应圆心角越大选项C对。粒子运动轨迹对应的弧长越长,圆心角越大,时间越长。由于半径一定,弧长越长,对应的弦长越长,所以弦长越长,圆心角越大,时间越长。而最长的弦长是从正方形顶点离开磁场,根据半径关系,初速度正对顶点的粒子不可能从顶点离开磁场,所以初速度方向正对四个顶点的粒子在磁场中运动时间不是最长,选项D错。

本题难度:一般
4、选择题 如图所示,两个带等量正电荷的小球与水平放置的光滑绝缘杆相连,并固定在垂直纸面向外的匀强磁场中,杆上套有一个带正电的小环,带电小球和小环都可视为点电荷.若将小环从图示位置由静止开始释放,在小环运动的过程中,说法正确的是

A.小环的加速度的大小不断变化
B.小环的速度将一直增大
C.小环所受的洛伦兹力一直增大
D.小环所受的洛伦兹力方向始终不变
参考答案:A
本题解析:小球开始受到Q2对它的库仑力大于Q1对它的库仑力,所以先向左运动,运动的过程中受到洛伦兹力,通过受力情况,知小球向左先加速后减速到0.然后又返回.小球在水平方向上受到两个库仑力作用,在竖直方向上受洛伦兹力和杆子对球的弹力.根据受力情况知,小球向左先加速后减速到0.然后又返回.加速度的大小在变,速度的大小和方向都在变,知洛伦兹力的大小和方向都变化.小球的速度向左先增大后减小.故错误.
点评:解决本题的关键能够根据小球的受力情况分析出小球的运动情况,从而可知洛伦兹力的变化.
本题难度:简单
5、计算题 如图a所示,一个质量为m=2.0×10-11kg,电荷量g=1.0×10-5C的带负电粒子(重力忽略不计),从静止开始经U1=100V电压加速后,垂直于场强方向进入两平行金属板间的匀强偏转电场。偏转电场的电压U2=100V,金属板长L=20cm,两极间距

(1)粒子进人偏转电场时的速度v0大小;
(2)粒子射出偏转电场时的偏转角θ;
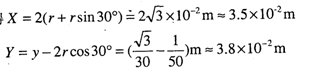
(3)在匀强电场的右边有一个足够大的匀强磁场区域。若以粒子进入磁场的时刻为t=0,磁感应强度B的大小和方向随时间的变化如图b所示,图中以磁场垂直于纸面向内为正。如图建立直角坐标系(坐标原点为微粒进入偏转电场时初速度方向与磁场的交边界点)。求在
时粒子的位置坐标(X、Y)。(答案可以用根式表示,如用小数,请保留两位有效数字)
参考答案:(1)
(2)
(3)

本题解析:


本题难度:一般