微信搜索关注"91考试网"公众号,领30元,获取公务员、事业编、教师等考试资料40G!
1、计算题 神奇的黑洞是近代引力理论所预言的一种特殊天体,探寻黑洞的方案之一是观测双星系统的运动规律。天文学家观测河外星系麦哲伦云时,发现了LMCX-3双星系统,它由可见星A和不可见的暗星B构成,两星视为质点,不考虑其它天体的影响,A、B围绕两者的连线上的O点做匀速圆周运动,它们之间的距离保持不变,如图所示,引力常量为G,由观测能够得到可见星A的速率v和运行周期T。
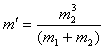
(1)可见星A所受暗星B的引力FA可等效为位于O点处质量为m'的星体(视为质点)对它的引力,设A和B的质量分别为m1、m2。试求m'(用m1、m2表示)
(2)求暗星B的质量m2与可见星A的速率v、运行周期T和质量m1之间的关系式。

参考答案:解:(1)设A、B的圆轨道半径分别为r1、r2,由题意知,A、B做匀速圆周运动的角速度相同,其为
。由牛顿运动定律,有



设A、B之间的距离为r,又r=r1+r2,由上述各式得
?①
由万有引力定律,有
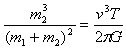
将①代入得
令
比较可得
?②
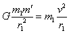
(2)由牛顿第二定律,有
?③
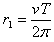
又可见星A的轨道半径
?④
由②③④式可得
本题解析:
本题难度:困难
2、计算题 一宇航员抵达一半径为R的星球表面后,为了测定该星球的质量M,做如下实验,取一根细线穿过光滑的细直管,细线一端栓一质量为m的砝码,另一端连在一固定的测力计上,手握细直管抡动砝码,使它在竖直平面内做完整的圆周运动。停止抡动细直管,砝码可继续在同一竖直平面做完整的圆周运动。如图所示,观察测力计得到,当砝码运动到圆周的最低点时,测力计的读数为
;当砝码运动到圆周的最高点时,测力计的读数为
。已知引力常量为G,试根据题中提供的条件和测量结果,求:

(1)该星球表面的重力加速度;
(2)该星球的质量M;
(3)该星球的第一宇宙速度。
参考答案:解:(1)砝码在最高点细线的拉力为F1,速度为v1,则
?①
砝码在最低点细线的拉力为F2,速度为v2,则
②
由机械能守恒定律得
③
由①、②、③解得
④
(2)在星球表面,万有引力近似等于重力
⑤
由④、⑤解得

(3)由
,
得
(或由
,得
本题解析:略
本题难度:简单
3、选择题 海王星是绕太阳运动的一颗行星,它有一颗卫星叫海卫三.若将海王星绕太阳的运动和海卫三绕海王星的运动均看作匀速圆周运动,则要计算海王星的质量,需要知道的量是(引力常量G为已知量):
A.海卫三绕海王星运动的周期和半径
B.海王星绕太阳运动的周期和半径
C.海卫三绕海王星运动的周期和海卫三的质量
D.海王星绕太阳运动的周期和太阳的质量
参考答案:A
本题解析:根据
,可知
,要计算海王星的质量,海王星一定是中心天体,则需要知道海卫三绕海王星运动的周期和半径,故A正确
故选A
本题难度:简单
4、选择题 若已知引力常量G=6. 67×10-11N ·m2/kg2 ,重力加速度g=9.8m/s2,地球半径R=6.4×106 m ,则可知地球质量的数量级是
[? ]
A.1018kg?
B.1020kg?
C.1022kg?
D.1024kg
参考答案:D
本题解析:
本题难度:简单
5、选择题 设地球表面的重力加速度为g0,物体在距地心2R(R是地球的半径)处,由于地球的作用而产生的加速度为g,则g/g0为( )
A.1
B.
C.
D.
参考答案:根据万有引力等于重力,列出等式:GMmr2=mg
得g=GMr2,
其中M是地球的质量,r应该是物体在某位置到球心的距离.
所以gg0=(12R)2(1R)2=14
故选C.
本题解析:
本题难度:简单
Wise men seek instruction, fools fall for applause. 聪明人喜欢别人指教,蠢人则喜欢别人赞美.