微信搜索关注"91考试网"公众号,领30元,获取公务员、事业编、教师等考试资料40G!
1、简答题 2003年10月15日,我国成功地发射了“神州”五号载人宇宙飞船.发射飞船的火箭全长58.3m,起飞时总质量M0=4 79.8t(吨).发射的初始阶段,火箭竖直升空,航天员杨利伟有较强超重感,仪器显示他对仓座的最大压力达到体重的5倍.飞船进入轨道后,21h内环绕地球飞行了14圈.将飞船运行的轨道简化为圆形,地球表面的重力加速度g取10m/s2.
(1)求发射的初始阶段(假设火箭总质量不变),火箭受到的最大推力;
(2)若飞船做圆周运动的周期用T表示,地球半径用R表示.?请导出飞船圆轨道离地面高度的表达式.
参考答案:(1)设火箭发射初始阶段的最大加速度为a,航天员受到的最大支持力为N,航天员质量为m0,根据牛顿第二定律
N-m0g=m0a?
依题意和牛顿第三定律?N=5m0g
解得a=40m/s2
设发射初始阶段火箭受到的最大推力为F,根据牛顿第二定律
F-M0g=M0a
解得?F=2.4×107N
(2)设地球质量为M,飞船的质量m,距地面的高度为h,则飞船受到地球的引力为飞船提供向心力
GMm(R+h)2=m?4π2(R+h)T2
地面物体所受万有引力近似等于重力,设物体质量为m′,则
GMm′(R)2=m′g
解得:h=3gR2T24π2
本题解析:
本题难度:一般
2、选择题 火星的质量和半径分别约为地球的
和
,地球表面的重力加速度为g,则火星表面的重力加速度约为(? )
A.0.2g
B.0.4g
C.2.5g
D.5g
参考答案:B
本题解析:
本题难度:简单
3、选择题 中新社消息,2011年11月03日凌晨1时36分,中国自行研制的神舟八号飞船与天宫一号目标飞行器,在距地球表面343公里的轨道第一次成功实现自动对接; 神舟九号飞船将载三名航天员于2012年6月至9月择机发射,与天宫一号目标飞行器实现人工对接。下面的说法正确的是(?)
A.在神舟八号飞船从天宫一号后面400米停泊点,向140米停泊点接近天宫一号的过程中,“神舟八号”飞船从较低的轨道,加速后接近“天宫一号”
B.在神舟八号飞船从天宫一号后面400米停泊点,向140米停泊点接近天宫一号的过程中,若忽略神舟八号飞船质量的变化,则它的机械能守恒
C.神舟九号飞船与天宫一号对接后,绕地球做匀速圆周运动。如果航天员慢慢走出舱外,若没有安全带,他将会落回地面
D.神舟九号飞船与天宫一号对接后,绕地球做匀速圆周运动。若知道飞船的运动轨道半径和周期,就可以算出它们的加速度的大小
参考答案:AD
本题解析:轨道越低,速度越大,要从低轨向高轨靠近,需要加速接近,机械能增加,A正确、B错误;航天员慢慢走出舱外,仍做圆周运动,C错误;由
,D正确。
本题难度:简单
4、选择题 2011年11月01日5时58分07秒,我国成功发射神州八号飞船,它将与天宫一号实现空中对接,从而建立我国第一个空间实验室。假如神舟八号与天宫一号对接前所处的轨道如图甲所示,图乙是它们在轨道上即将对接时的模拟图。当它们处于图甲所示的轨道运行时,下列说法正确的是

A.神舟八号的加速度比天宫一号的大
B.神舟八号的运行速度比天宫一号的小
C.神舟八号的运行周期比天宫一号的长
D.“神舟八号”从图示轨道运动到与“天宫一号”对接过程中,机械能守恒
参考答案:A
本题解析:根据万有引力提供向心力,
得
,
,
.可知r越大,向心加速度越小,线速度越小,周期越大.故A对,B、C都错.
神舟八号加速做离心运动可以实现与天宫一号对接,故机械能增大,故D错.
故选A.
本题难度:简单
5、计算题 太阳系以外存在着许多恒星与行星组成的双星系统。它们运行的原理可以理解为,质量为M的恒星和质量为m的行星(M>m),在它们之间的万有引力作用下都有规则地运动着。如图所示,我们可认为行星在以某一定点C为中心、半径为a的圆周上做匀速圆周运动(图中没有表示出恒星)。设万有引力常量为G,恒星和行星的大小可忽略不计。
(1)恒星与点C间的距离是多少?
(2)试在图中粗略画出恒星运动的轨道和位置;
(3)计算恒星的运行速率v。

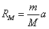
参考答案:解:(1)M、m做圆周运动的角速度、向心力的大小相同,则
?
(2)恒星运动的轨道和位置大致如图

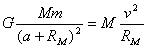
(3)对恒星M:
代入数据得
本题解析:
本题难度:一般