微信搜索关注"91考试网"公众号,领30元,获取公务员、事业编、教师等考试资料40G!
1、计算题 一个质量为M的雪橇静止在水平雪地上,一条质量为m的爱斯基摩狗站在该雪橇上。狗向雪橇的正后方跳下,随后又追赶并向前跳上雪橇;其后狗又反复地跳下、追赶并跳上雪橇,狗与雪橇始终沿一条直线运动。若狗跳离雪橇时雪橇的速度为V,则此时狗相对于地面的速度为V+u(其中u为狗相对于雪橇的速度,V+u为代数和。若以雪橇运动的方向为正方向,则V为正值,u为负值)。设狗总以速度v追赶和跳上雪橇,雪橇与雪地间的摩擦忽略不计。已知v的大小为5m/s,u的大小为4m/s,M=30kg,m=10kg。
(1)求狗第一次跳上雪橇后两者的共同速度的大小。
(2)求雪橇最终速度的大小和狗最多能跳上雪橇的次数。(供使用但不一定用到的对数值:lg2=0.301,lg3=0.477)
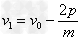
参考答案:解:(1)设雪橇运动的方向为正方向,狗第1次跳下雪橇后雪橇的速度为V1,根据动量守恒定律,有

狗第1次跳上雪橇时,雪橇与狗的共同速度V1"满足
可解得
将
代入,得
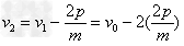
(2)设雪橇运动的方向为正方向,狗第(n-1)次跳下雪橇后雪橇的速度为Vn-1,则狗第(n-1)次跳上雪橇后的速度
满足
这样,狗n次跳下雪橇后,雪橇的速度为Vn满足
解得
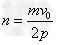
狗追不上雪橇的条件是Vn≥v
可化为
最后可求得
代入数据,得
狗最多能跳上雪橇3次,雪橇最终的速度大小为V4=5.625m/s
本题解析:
本题难度:困难
2、计算题 在纳米技术中需要移动或修补原子,必须使在不停地做热运动(速率约几百米每秒)的原子几乎静止下来且能在一个小的空间区域内停留一段时间,为此已发明了“激光致冷”的技术.若把原子和入射光子分别类比为一辆小车和一个小球,则“激光致冷”与下述的力学模型很类似:一辆质量为m的小车(一侧固定一轻弹簧),如图所示,以速度v0水平向右运动,一个动量大小为p,质量可以忽略的小球水平向左射入小车并压缩弹簧至最短,接着被锁定一段时间Δt,再解除锁定使小球以大小相同的动量p水平向右弹出,紧接着不断重复上述过程,最终小车将停下来.设地面和车厢均光滑,除了锁定时间Δt外,不计小球在小车上运动和弹簧压缩和伸长的时间.求:
(1)小球第一次入射后再弹出时,小车的速度大小和这一过程中小车动能的减少量;
(2)从小球第一次入射开始到小车停止运动所经历的时间.

参考答案:解:(1)小球射入小车和从小车中弹出的过程中,小车和小球所组成的系统动量守恒
由动量守恒定律可得:mv0-p=mv1",mv1"=mv1+ p
解得:
此过程中小车动能减少量
解得
(2)小球第二次入射和弹出的过程及以后重复进行的过程中,同样有小车和小球组成的系统动量守恒
由动量守恒定律,得:mv1-p=mv2",mv2"=mv2+ p
解得:
同理可推得:
要使小车停下来,即vn=0,小球重复入射和弹出的次数为:
故小车从开始运动到停下来所经历的时间为:
本题解析:
本题难度:一般
3、简答题

如图所示,水平桌面上有一木块A,质量198g,它与桌面间动摩擦因数为0.1,木块A距桌边2.0m,一子弹质量2.0g,水平射入木块后与木块一起在桌面上滑动,问子弹速度至少多大才能将木块击出桌面?
参考答案:
200m/s
本题解析:

本题难度:简单
4、简答题 如图所示,质量m1=2.0kg的木板AB静止在水平面上,木板的左侧有一个固定的半径R=0.60m的四分之一圆弧形轨道,轨道末端的切线水平,轨道与木板靠在一起,且末端高度与木板高度相同.现将质量m2=1.0kg可视为质点的小木块C,从圆弧形轨道顶端由静止释放,小木块C到达圆弧形轨道底端时的速度v0=3.0m/s.之后小木块C滑上木板AB并带动木板AB运动,当小木块C离开木板AB右端B时,木板AB的速度v1=0.5
m/s,在小木块C在木板AB上滑行的过程中,小木块C与木板AB总共损失的动能△E=2.25J.小木块C与木板AB间的动摩擦因数μ=0.1.木板AB与地面间的摩擦及空气阻力可忽略不计.取g=10m/s2.求
(1)小木块C运动到圆弧形轨道末端时所受支持力的大小;
(2)小木块C在圆弧形轨道上下滑过程中克服摩擦力所做的功;
(3)小木块C在木板AB上运动过程中,小木块C相对于地面的位移.

参考答案:(1)小木块通过圆弧形轨道末端时,
由牛顿第二定律得:F-m2g=m2v20R,
解得小木块受到的支持力:F=25N;
(2)小木块在圆弧形轨道上下滑过程中,
由动能定理得:m2gR-Wf=12m2v02-0,
解得克服摩擦力做的功Wf=1.5J;
(3)木块C与木板AB间的摩擦力f=μm2g,
由动能定理得:
对木板:fs1=12m1v12-0,
对小木块:-fs2=12m2(v22-v02),
木块与木板间的位移关系:s2=s1+L,
小木块与木板总共损失的动能△E=fL,
解得:s2=2.5m;
答:(1)小木块C运动到圆弧形轨道末端时所受支持力大小为25N;
(2)小木块C在圆弧形轨道上下滑过程中克服摩擦力所做的功为1.5J;
(3)小木块C在木板AB上运动过程中,小木块C相对于地面的位移为2.5m.
本题解析:
本题难度:一般
5、简答题 如图所示,光滑水平面上有A、B、C三个物块,其质量分别为mA=2.0kg,mB=1.0kg,mC=1.0kg.现用一轻弹簧将A、B两物块连接,并用力缓慢压缩弹簧使A、B两物块靠近,此过程外力做功108J(弹簧仍处于弹性限度内),然后同时释放A、B,弹簧开始逐渐变长,当弹簧刚好恢复原长时,C恰以4m/s的速度迎面与B发生碰撞并粘连在一起.求
(1)弹簧刚好恢复原长时(B与C碰撞前)A和B物块速度的大小?
(2)当弹簧第二次被压缩时,弹簧具有的最大弹性势能为多少?

参考答案:(1)弹簧刚好恢复原长时,A和B物块速度的大小分别为υA、υB.
由动量守恒定律有:0=mAυA-mBυB
此过程机械能守恒有:Ep=12mAυA2+12mBυB2
代入Ep=108J,解得:υA=6m/s,υB=12m/s,A的速度向右,B的速度向左.
(2)C与B碰撞时,C、B组成的系统动量守恒,设碰后B、C粘连时速度为υ′,则有:
mBυB-mCυC=(mB+mC)υ′,代入数据得υ′=4m/s,υ′的方向向左.
此后A和B、C组成的系统动量守恒,机械能守恒,当弹簧第二次压缩最短时,弹簧具有的弹性势能最大,设为Ep′,且此时A与B、C三者有相同的速度,设为υ,则有:
动量守恒:mAυA-(mB+mC)υ′=(mA+mB+mC)υ,
代入数据得υ=1m/s,υ的方向向右.?
机械能守恒:12mAυA2+12(mB+mC)υ′2=Ep′+12(mA+mB+mC)υ2,
代入数据得E′p=50J.
答:(1)弹簧刚好恢复原长时(B与C碰撞前)A的速度为6m/s,B物块速度大小12m/s.
(2)当弹簧第二次被压缩时,弹簧具有的最大弹性势能为50J.
本题解析:
本题难度:一般