微信搜索关注"91考试网"公众号,领30元,获取公务员、事业编、教师等考试资料40G!
               
                  
                   
     
      
            1、选择题  穿过一个内阻为1欧的闭合线圈的磁通量每秒钟均匀地减少2Wb,则(  )
A.线卷中感应电动势每秒钟增加2V
B.线圈中感应电流每秒钟减小2A
C.线圈中感应电流不变
D.以上说法不对
 
	参考答案:A、由法拉第电磁感应定律知,E=n△?△t=21V=2V.故A错误.
 B、根据闭合电路欧姆定律知,I=ER=2A.故BD错误,C正确.
故选C.
	本题解析:
	本题难度:一般
	        2、计算题  如图(a)所示,间距为L、足够长的固定光滑平行金属导轨MN、PQ与水平面成θ角,下端M、P之间连接 有电流传感器和阻值为R的定值电阻。导轨上垂直停放一质量为m、电阻为r的金属杆ab,ab与导轨接触良好,整个装置处于磁感应强度方向垂直导轨平面向下、大小为B的匀强磁场中。在t=0时刻,用一沿斜面向上的力向上拉金属杆ab,使之由静止开始斜向上做直线运动,电流传感器将通过R的电流i即时采集并输入电脑,可获得电流i随时间t变化的关系图线,设图(b)中的I1和t1为已知数。电流传感器和导轨的电阻及空气阻力均忽略不计,重力加速度大小为g。
(1)若电流i随时间t变化的关系如图(b)所示,求任意t时刻杆ab的速度v; 
(2)判断杆ab的运动性质,并求任意t时刻斜向上的拉力的功率P的大小。 

 
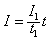
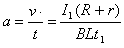
	参考答案:解:(1)由题图(b)可知t=t1时刻电路中的感应电流为I1,则t时刻,电流为
杆ab切割磁感线产生的感应电动势为:e=BLv 
根据闭合电路欧姆定律有e=I(R+r)
由以上三式解得
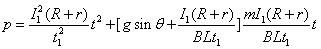
(2)由于 是常量,所以杆ab是做匀加速直线运动,其加速度大小为
是常量,所以杆ab是做匀加速直线运动,其加速度大小为
设t时刻水平力大小为F,根据牛顿第二定律有F-BIL-mgsinθ=ma 
又P=Fv
得
	本题解析:
	本题难度:困难
	        3、简答题  一个倾角为 的光滑斜面,在宽度为L的区域中存在着磁感强度B的匀强磁场,其方向竖直向上.将一个电阻为R,边长为a,质量为m的导体框沿斜面向上以速度v匀速通过磁场区域,如图所示,在a>L,a<L两种情况下,线框通过磁场时,外力对线框所做的功分别为多少?
的光滑斜面,在宽度为L的区域中存在着磁感强度B的匀强磁场,其方向竖直向上.将一个电阻为R,边长为a,质量为m的导体框沿斜面向上以速度v匀速通过磁场区域,如图所示,在a>L,a<L两种情况下,线框通过磁场时,外力对线框所做的功分别为多少?

 
	参考答案: ,
,

	本题解析:

	本题难度:一般
	        4、选择题  某地的地磁场磁感应强度的竖直分量方向向下,大小为4.5×10-5 T。一灵敏电压表连接在当地入海河段的两岸,河宽100m,该河段涨潮和落潮时有海水(视为导体)流过。设落潮时,海水自西向东流,流速为2m/s。下列说法正确的是

[? ]
A.河北岸的电势较高 
B.河南岸的电势较高 
C.电压表记录的电压为9mV 
D.电压表记录的电压为5mV 
 
	参考答案:AC
	本题解析:
	本题难度:简单
	        5、选择题  在沿水平方向的匀强磁场中,有一圆形金属圈可绕沿其直径的竖直轴自由转动,开始时线圈静止,线圈平面与磁场方向既不平行也不垂直,所成的锐角为 。在磁场开始增强后的一个极短时间内,线圈平面(?)
。在磁场开始增强后的一个极短时间内,线圈平面(?)
A.维持不动
B.将向使 减小的方向转动
减小的方向转动
C.将向使 增大的方向转动
增大的方向转动
D.将转动,因不知磁场方向,不能确定 会增大还是会减小
会增大还是会减小
 
	参考答案:
B
	本题解析:
如图所示,画出其截面图,当B增强时,根据楞次定律可判定电流方向如图所示,根据左手定则可判定其受到的安培力如图所示。从而判定线圈将向使 减小的方向转动,故答案B正确,A、C、D错。
减小的方向转动,故答案B正确,A、C、D错。

	本题难度:简单