微信搜索关注"91考试网"公众号,领30元,获取公务员、事业编、教师等考试资料40G!
1、实验题 (1 0分)玩具遥控器经常用到一种方形层叠电池,如图甲所示。为了测定该电池的电动势和内电阻,实验室提供了下列器材:

A.电流表G(满偏电流1 0mA,内阻10 ?
B.电流表A(0~0.6 A~3A,内阻未知).
C.滑动变阻器R(0~l00 ?,1A)
D.定值电阻R(阻值990 ?)
E.开关与导线若干
(1)电流表A的量程应选用?(填“0~06 A”或“0 ~3A”?)
(2)该同学根据现有的实验器材,设计了如图乙所示的电路,并在丙图上完成了实物连线,请你指出该同学连线的错误之处(在连错的导线上打“×,’),并重新正确连线。

(3)根据上述设计的实验电路,该同学利用测出的数据绘出I1—I2图线(I为电流表 G的示数,I为电流表A的示数)如丁图所示,则由图线可得该电池的电动势E= ?V,内阻r= ??
参考答案:(1)0-0.6A(2分)
(2)如图所示

(3)9.00? 10.0
本题解析:解答:解:(1)电流表示数最小值为
,为了测量误差较小,应该选用小量程,即0--0.6A
(2)本实验滑动变阻器跟电流表串联,灵敏电流计与定值电阻串联,然后再并联,所以电路接线如图

(3)由电路图可知,电流表G与定值电阻串联充当电压表,则由闭合电路欧姆定律可得:
1000I1=E-I2r;I1=
,由数学知识可知,图象与纵坐标的交点为:9.0mA,故电源的电动势为1000×9.0=9.0V;图象的斜率为
,故内电阻r=1000×1.0×10-2=10.0Ω;
点评:本题中考查测定电动势和内电阻实验中的数据处理,本题中要注意单位的正确换算;同时注意正确列出表达式,找出规律.
本题难度:一般
2、实验题 图为“测绘小灯泡伏安特性曲线”实验的实物电路图,已知小灯泡额定电压为2.5 V.

(1)完成下列实验步骤:
①闭合开关前,调节滑动变阻器的滑片,__________?____;
②闭合开关后,逐渐移动滑动变阻器的滑片,___?_______;
③断开开关,……根据实验数据作出小灯泡灯丝的伏安特性曲线.
(2)在虚线框中画出与实物电路相应的电路图.

参考答案:(1)①使它靠近滑动变阻器左端的接线柱
②增加小灯泡两端的电压,记录电流表和电压表的多组读数,直至电压达到其额定电压
(2)

本题解析:(1) ①由图可知,滑动变阻器采用的是分压式接法,闭合电键前,应使测量电路部分处于短路状态,闭合电键时,电压表、电流表示数为零,起到保护作用.所以闭合开关前,调节滑动变阻器的滑片,使它靠近滑动变阻器左端的接线柱.
②描绘小灯泡灯丝的伏安特性曲线,必须测量多组数据,即增加小灯泡两端的电压,记录电流表和电压表的多组读数,直至电压达到额定电压.
(2)由实物电路图可知,从电源正极出发,先经过开关,然后电路经滑动变阻器分为两条支路,一路从下方接线柱直接回到电源负极,另一路从滑片经电流表、小灯泡回到电源负极(电压表与小灯泡并联),由此可见,滑动变阻器采用的是分压式接法,测量部分采用的是安培表外接法,根据实物电路图作出电路图,如图所示.

本题难度:一般
3、实验题 某同学在实验室里熟悉各种仪器的使用。他将一条形磁铁放在转盘上,如图甲所示,磁铁可随转盘转动,另将一磁感应强度传感器固定在转盘旁边,当转盘(及磁铁)转动时,引起磁感应强度测量值周期性地变化,该变化与转盘转动的周期一致。经过操作,该同学在计算机上得到了如图乙所示的图像。


(1)在图像记录的这段时间内,圆盘转动的快慢情况是___________________。
(2)圆盘匀速转动时的周期是_______s。
(3)(多选题)该同学猜测磁感应强度传感器内有一线圈,当测得磁感应强度最大时就是穿过线圈的磁通量最大时。按照这种猜测(?)
A.在t =" 0.1s" 时刻,线圈内产生的感应电流的方向发生了变化
B.在t =" 0.15s" 时刻,线圈内产生的感应电流的方向发生了变化
C.在t =" 0.1s" 时刻,线圈内产生的感应电流的大小达到了最大值
D.在t =" 0.15s" 时刻,线圈内产生的感应电流的大小达到了最大值
参考答案:(8分)(1)先快慢不变,后越来越慢(2分)
(2)
(2分);?(3)AC(4分,漏选得2分)
本题解析:(1)当条形磁铁距离传感器最近时磁感强度最大,由此可知圆盘的周期增大,所以转速减小(2)由相邻两个波峰最大值为0.2s可知转盘的周期为0.2s(3)当穿过线圈磁通量最大时,磁通量开始减小,由楞次定律可知感应电流方向发生变化,磁通量变化最快,此时电流最大,A对;同理C对;BD错;故选AC
点评:难度较小,根据法拉第电磁感应定律结合图像判断
本题难度:简单
4、简答题 某同学使用了如下器材:电源E(电动势12V);电压表V(量程为15V,内阻约15KΩ)电流表A(量程100mA,内阻约10Ω);滑动变阻器(最大电阻为50Ω);单刀单掷开关;导线若干.测出了一个小灯泡的伏安特性曲线如图1甲所示,已知小灯泡的额定电压为12V.
(1)请在图1乙的虚线方框中画出此实验电路.

(2)根据设计的电路图在图2的实物上连线.
(3)由小灯泡的伏安特性曲线可知小灯泡的额定功率为P额=______?W,小灯泡电阻的变化特性为______.
参考答案:(1)由I-U图象知电压与电流从零调,滑动变阻器应用分压式接法,小灯泡电阻远小于电压表内阻,电流表应用外接法,电路图如图所示

(2)根据设计的电路图在图中的实物上连线如图所示

(3)由小灯泡的伏安特性曲线可读出当U=12V时,I=100mA,由P=UI得小灯泡的额定功率为P=12×0.1W=1.2W;
有I-U图象可知:灯泡电阻随电压升高而增大(或随温度升高而增大;或电压越高时电阻增大越快)
故答案为(1)电路图如图所示;(2)实物图连接如图所示;(3)1.2,灯泡电阻随电压升高而增大(或随温度升高而增大;或电压越高时电阻增大越快).
本题解析:
本题难度:一般
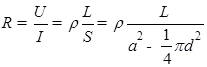
5、实验题 (10分)如图(c)所示的金属工件,截面外方内圆,外边长约为1cm、内径约为0.5cm、长度约为40cm。

①某同学用游标卡尺测出截面外边长如图(d)所示,其读数a=?cm。
②应选用?来测量工件内径d,选用?来测量工件长度L。(选填“毫米刻度尺”、“游标卡尺”、“螺旋测微器”)
③为了测出该金属的电阻率,该同学设计了如图(e)所示的电路,请按设计的电路完成实物图(f)的连线。
④实验测得工件两端电压为U,通过的电流为I,写出该金属电阻率的表达式ρ=?。(用a、d、L、U、I等字母表示)
参考答案:①1.02;?②游标卡尺;毫米刻度尺;?③连线图见解析;④
本题解析:①游标卡尺读数a=1cm+0.1mm×2=1.02cm。应选用游标卡尺来测量工件内径d,选用毫米刻度尺来测量工件长度L;③连线见下图;④因为
,解得ρ=
。

本题难度:一般