微信搜索关注"91考试网"公众号,领30元,获取公务员、事业编、教师等考试资料40G!
1、简答题 磁流体发电是一种新型发电方式,图1和图2是其工作原理示意图.图1中的长方体是发电导管,其中空部分的长、高、宽分别为l、a、b,前后两个侧面是绝缘体,上下两个侧面是电阻可略的导体电极,这两个电极与负载电阻R1相连.整个发电导管处于图2中磁场线圈产生的匀强磁场里,磁感应强度为B,方向如图所示.发电导管内有电阻率为ρ的高温、高速电离气体沿导管向右流动,并通过专用管道导出.由于运动的电离气体受到磁场作用,产生了电动势.发电导管内电离气体流速随磁场有无而不同.设发电导管内电离气体流速处处相同,且不存在磁场时电离气体流速为v0,电离气体所受摩擦阻力总与流速成正比,发电导管两端的电离气体压强差△p维持恒定,求:
(1)不存在磁场时电离气体所受的摩擦阻力F多大;
(2)磁流体发电机的电动势E的大小;
(3)磁流体发电机发电导管的输入功率P.

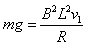
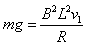
参考答案:(1)不存在磁场时,由力的平衡得F=ab△p
(2)设磁场存在时的气体流速为v,则磁流体发电机的电动势E=Bav
回路中的电流I=BavRX+ρabl
电流I受到的安培力F安=B2a2vRx+ρabl
设F′为存在磁场时的摩擦阻力,依题意F′F=vv0
存在磁场时,由力的平衡得ab△p=F安+F′
根据上述各式解得E=Bav1+B2av0b△p(Rx+ρabl)
(3)磁流体发电机发电导管的输入功率P=abv△p
由能量守恒定律得P=EI+F′v
?故P=abv0△p1+B2av0b△p(Rx+ρabl)
答:(1)不存在磁场时电离气体所受的摩擦阻力ab△p;
(2)磁流体发电机的电动势E的大小E=Bav1+B2av0b△p(Rx+ρabl);
(3)磁流体发电机发电导管的输入功率P=abv0△p1+B2av0b△p(Rx+ρabl).
本题解析:
本题难度:一般
2、选择题 两块水平放置的金属板距离为d,用导线与一个n匝的线圈连接,线圈置于方向竖直向上均匀变化的磁场中(如图所示),两板间有一质量为m,电量为+q的油滴恰好处于平衡状态,则线圈中的磁场B的变化情况和磁通量变化率分别是?

[? ]
A.正在增强,Δφ/Δt=mg·d/q?
B.正在减弱,Δφ/Δt=mg·d/q
C.正在增强,Δφ/Δt=mg·d/nq?
D.正在减弱,Δφ/Δt=mg·d/nq
参考答案:D
本题解析:
本题难度:一般
3、计算题 如图所示,在一倾角为37°的粗糙绝缘斜面上,静止地放置着一个匝数n=10匝的圆形线圈,其总电阻R=3.14 Ω、总质量m=0.4 kg、半径r=0.4 m.如果向下轻推一下此线圈,则它刚好可沿斜面匀速下滑.现在将线圈静止放在斜面上后.在线圈的水平直径以下的区域中,加上垂直斜面方向的,磁感应强度大小按如下图所示规律变化的磁场(提示:通电半圆导线受的安培力与长为直径的直导线通同样大小的电流时受的安培力相等)问:
(1)刚加上磁场时线圈中的感应电流大小I.
(2)从加上磁场开始到线圈刚要运动,线圈中产生的热量Q.(最大静摩擦力等于滑动摩擦力,sin 37°=0.6,cos 37°=0.8,g取
)

参考答案:(1)0.4 A (2)0.5 J
本题解析:(1)由闭合电路的欧姆定律
由法拉第电磁感应定律
由图,
联立解得
.
(2)设线圈开始能匀速滑动时受的滑动摩擦力为
则
加变化磁场后线圈刚要运动时
其中
由图象知
由焦耳定律
联立解得
.
点评:电磁感应中的功能关系是通过安培力做功量度外界的能量转化成电能.找两个物理量之间的关系是通过物理规律一步一步实现的.用公式进行计算时,如果计算的是过程量,我们要看这个量有没有发生改变.
本题难度:一般
4、选择题 闭合电路中产生的感应电动势的大小,跟穿过这一闭合电路的下列哪个物理量成正比
[? ]
A、磁通量
B、磁感应强度
C、磁通量的变化率
D、磁通量的变化量
参考答案:C
本题解析:
本题难度:简单
5、计算题 如图所示,质量为m,边长为L的正方形线框abcd,从垂直纸面向里的水平有界匀强磁场的上方h高度处由静止自由下落,磁场高度为H,线框下落过程中始终在同一竖直平面内且cd边与磁场边界都沿水平方向。
(1)请证明线框进入磁场的过程中任意时刻线框克服安培力做功的功率等于线框的电功率;
(2)若m=0.40kg,L=0.45m,h=0.80 m,H=1.45m,且cd边进入磁场时线框刚好做匀速运动,求cd边刚穿出磁场时线框的加速度大小;若线框电阻为0.81Ω,求磁感应强度的大小(g取10m/s2)。
(3)在(2)中,若线框刚进入磁场时对其施加一竖直方向外力F,使其能以a=10m/s2的加速度竖直向下做匀加速运动,请说明线框abcd进入磁场的过程中外力F随时间t变化的关系,并作出相应的图像。
? 
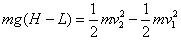
参考答案:解:(1)设磁感应强度为B,线框电阻为R,某时刻线框运动速度为v
感应电动势为E=BLv
感应电流为
安培力为
克服安培力做功的功率为
线框中的电功率为
可得
(2)线框进入磁场前速度为
进入磁场过程中匀速运动则有
完全进入磁场后线框以加速度g加速下落,刚离开磁场时速度为v2,根据机械能守恒有
线框刚离开磁场时,根据牛顿第二定律有
上述关系式联立,可解得a=5m/s2
由
=4m/s
,B=2T
(3)线框在F外力作用下加速进入磁场过程中,经t时刻速度为v
,
根据上述方程联立,可得
又由L=v1t+at2/2,可得:t=0.1s
所以有0≤t≤0.1s
F随时间t变化的关系如图所示

本题解析:
本题难度:困难