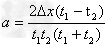
1、计算题 一物体做匀加速直线运动,通过一段位移△x所用的时间为t1,紧接着通过下一段位移△x所用时间为t2。求:?
(1)通过两段位移2△x的平均速度v;?
(2)物体运动的初速度v1和加速度a。
参考答案:解:(1)
(2)根据匀变速直线运动规律有


v2=v1+at1
联立解得

本题解析:
本题难度:一般
2、选择题 某物体做匀加速直线运动,经过10s位移为100m,此时该物体的速度达到15m/s,该物体的初速度和加速度各是多少(?)
A.10m/s, 1 m/s2
B.5m/s, 1 m/s2
C.10m/s, 2 m/s2
D.5m/s, 2 m/s2
参考答案:B
本题解析:
试题分析:这个题目用匀变速直线运动的平均速度公式做最简单的。
得:
;
由加速度公式得
所以选项B对
本题难度:一般
3、计算题 一列火车进站前先关闭气阀,让车减速滑行。滑行了300 m时速度减为关闭气阀时的一半,此后又继续滑行了20 s停在车站。设火车在滑行过程中加速度始终维持不变,试求:
(1)火车滑行的加速度及火车关闭气阀时的速度;
(2)从火车关闭气阀到停止滑行时,滑行的总位移。
参考答案:解:(1)由
解得:v0= 20 m/s,a=-0.5 m/s2
(2)由
得:x2=100 m
则x总=x1+x2=400 m
本题解析:
本题难度:一般
4、选择题 一质点做匀变速运动,初速度大小为2m/s,1s后末速度大小变为4m/s,则下列判断正确的是( )
A.速度变化量的大小可能小于2m/s
B.速度变化量的大小可能大于2m/s
C.加速度大小可能小于6m/s2
D.加速度大小一定大于6m/s2
参考答案:当1s后的速度与初速度方向相同时,△v=v2-v1=4-2m/s=2m/s,a=△v△t=21m/s2=2m/s2.
当1s后的速度与初速度方向相反时,△v=v2-v1=-4-2m/s=-6m/s,a=△v△t=-61m/s2=-6m/s2.
故B、C正确,A、D错误.
故选BC.
本题解析:
本题难度:简单
5、选择题 做匀加速直线运动的物体的加速度为3 m/s2,对于任意1 s来说,下列说法中错误的的是
A.某1 s末的速度比该1 s初的速度总是大3 m/s
B.某1 s末的速度比该1 s初的速度总是大3倍
C.某1 s初的速度与前1 s末的速度相等
D.某1 s末的速度比前1 s初的速度总是大6 m/s
参考答案:B
本题解析:做匀加速直线运动的物体的加速度为3m/s2,某1?s末比该1?s初多1s,根据
得:某1s末的速度比该1s初的速度总是大3m/s,故A正确,B错误;某1 s初与前1?s末指的是同一时刻,
,根据
,知某1 s初的速度与前1 s末的速度相等.故C正确;某1?s末比前1?s初多2s,根据
,知某1s末的速度比前1s初的速度大6m/s.故D正确.本题选错误的故选B.
本题难度:一般