1、选择题 光滑水平面上半径相等的两金属小球A和B相向运动并发生对心碰撞,碰后两球均静止,若两球的质量之比为mA:mB=1:3,则两球碰前的速度关系为( )
A.方向相同,大小之比为1:3
B.方向相同,大小之比为3:1
C.方向相反,大小之比为1:3
D.方向相反,大小之比为3:1
参考答案:根据动量守恒,设A球初速度方向为正方向:
mAvA-mBvB=0,
得:vAvB=mBmA=31,
D正确.
故选:D.
本题解析:
本题难度:一般
2、实验题 如图所示,质量为m、半径为R的小球,放在半径为2R、质量为2m的大空心球内.大球开始静止在光滑的水平面上,当小球从图示位置无初速度沿大球内壁滚到最低点时,大球移动的距离是___________.
参考答案:s=
本题解析:设大球运动的位移为s,由图3知小球运动的位移为(R-s)
由“人船模型”知两球在水平方向动量守恒,因此有 m(R-s)=2ms 解得:s=
本题难度:简单
3、计算题 (11分)如图(1)所示,在光滑的水平面上有甲、乙两辆小车,质量为30kg的小孩乘甲车以5m/s的速度水平向右匀速运动,甲车的质量为15kg,乙车静止于甲车滑行的前方,两车碰撞前后的位移随时间变化图象如图(2)所示。


求:(1)甲乙两车碰撞后的速度大小;
(2)乙车的质量;
(3)为了避免甲乙两车相撞,小孩至少以多大的水平速度从甲车跳到乙车上?
参考答案:(1)甲车的速度大小为
,乙车的速度大小为v2=3m/s
(2)
(3)
本题解析:(1)由图可知,碰撞后甲车的速度大小为
?(1分)
乙车的速度大小为v2="3m/s?" (1分)
(2)在碰撞过程中,三者组成的系统满足动量守恒。

?(2分)
解得:
?(1分)
(3)设人跳向乙车的速度为v人,由动量守恒定律得
人跳离甲车:
?(1分)
人跳至乙车:
?(1分)
为使二车避免相撞,应满足
?(2分)
?
取“=”时,人跳离甲车的速度最小,
?(2分)
本题难度:简单
4、选择题 光滑水平面上两小球甲、乙用不可伸长的松驰细绳相连。开始时甲球静止,乙球以一定速度运动直至绳被拉紧,然后两球一起运动,在此过程中两球的总动量和机械能的变化情况是
A.动量守恒,机械能不守恒
B.动量守恒,机械能守恒
C.动量不守恒,机械能守恒
D.动量不守恒,机械能不守恒
参考答案:A
本题解析:以两物体为研究对象可知所受合外力为零,则符合动量守恒条件,但是在绳子拉直过程中会有机械能的损失,所以选A
本题难度:简单
5、计算题 (20分)某兴趣小组设计了一种实验装置,用来研究碰撞问题,其模型如题图所示不用完全相同的轻绳将N个大小相同、质量不等的小球并列悬挂于一水平杆、球间有微小间隔,从左到右,球的编号依次为1、2、3……N,球的质量依次递减,每球质量与其相邻左球质量之比为k(k<1
.将1号球向左拉起,然后由静止释放,使其与2号球碰撞,2号球再与3号球碰撞……所有碰撞皆为无机械能损失的正碰.(不计空气阻力,忽略绳的伸长,g取10 m/s2)

(1)设与n+1号球碰撞前,n号球的速度为vn,求n+1号球碰撞后的速度.
(2)若N=5,在1号球向左拉高h的情况下,要使5号球碰撞后升高16k(16 h小于绳长)问k值为多少?
(3)在第(2)问的条件下,悬挂哪个球的绳最容易断,为什么?
参考答案:(1)vn-1=
(2)k=
(3)悬挂1号球的绳最容易断.
本题解析:(1)设n号球质量为m,n+1,碰撞后的速度分别为
取水平向右为正方向,据题意有n号球与n+1号球碰撞前的速度分别为vn、0、mn+1
根据动量守恒,有
?(1)
根据机械能守恒,有
=
?(2)?
由(1)、(2)得
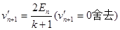
设n+1号球与n+2号球碰前的速度为En+1
据题意有vn-1=
得vn-1=
=
?(3)
(2)设1号球摆至最低点时的速度为v1,由机械能守恒定律有
?(4)
v1=
?(5)
同理可求,5号球碰后瞬间的速度
?(6)
由(3)式得
?(7)
N=n=5时,v5=
?(8)
由(5)、(6)、(8)三式得
k=
?(9)
(3)设绳长为l,每个球在最低点时,细绳对球的拉力为F,由牛顿第二定律有
?(10)
则
?(11)
(11)式中Ekn为n号球在最低点的动能
由题意1号球的重力最大,又由机械能守恒可知1号球在最低点碰前的动能也最大,根据(11)式可判断在1号球碰前瞬间悬挂1号球细绳的张力最大,故悬挂1号球的绳最容易断.
本题难度:一般