1、选择题 一个从地面上竖直上抛的物体,它两次经过一个较低点A的时间间隔是5 s,两次经过一个较高点B的时间间隔是3 s,则AB之间的距离是(g="10" m/s2)(?)
A.80 m
B.40 m
C.20 m
D.初速未知,无法确定
参考答案:C
本题解析:略
本题难度:简单
2、简答题 原地起跳时,先曲腿下蹲,然后突然蹬地.从开始蹬地到离地是加速过程(视为匀加速),加速过程中重心上升的距离称为“加速距离”.跳蚤原地起跳的“加速距离”d1=0.00075m,离地时速度大小v1=1.5m/s.
(1)求跳蚤起跳过程中的加速度大小是多少?
(2)人原地起跳的“加速距离”d2=0.3m,假想人具有跳蚤相等的起跳加速度,则人跳离地面时的速度大小是多少?
(3)若人以此速度离开地面后,做加速度大小为10m/s2的匀减速运动,则人离地后上升的最大高度是多少?
参考答案:(1)跳蚤起跳过程是匀加速直线运动,根据速度位移关系公式,有:
v12=2ad1
解得:a=v122d1=1.522×0.00075=1500m/s2
(2)人起跳过程是匀加速直线运动,根据速度位移关系公式,有:
v22=2ad2
解得:v2=
本题解析:
本题难度:一般
3、计算题 (16分)
节日燃放的烟花弹射到最高点爆炸散开形成多彩绚丽的景色,给节日增添了几分喜庆.在2010年除夕夜的重庆某地,某人在观看竖直发射的烟花时,看到烟花爆炸时的视线与水平方向夹角为530,看见爆炸到听见爆炸声的间隔时间是1.5s,设烟花燃放点与观察者在同一水平面上,不计空气阻力,忽略光在空中传播时间和观察者高度.(己知sin530 = 0.8,cos530 = 0.6,声速vo = 340m/s,g = 10m/s2).求:
(1)烟花燃放点与观察者问的水平距离;
(2)烟花爆炸点距地面高度;
(3)烟花弹射离地时的速度.
参考答 案:(1)510m
(2)408m
(3)90m/s
本题解析:
(1)烟花爆炸位置与观察者闻的直线距离为
?(4分)
由几何关系可知,烟花燃放点与观察者问的水平距离
?(4分)
(2)烟花弹射的竖直高度为
?(4分)
(3)烟花弹射离地时的速度为
?(4分)
本题难度:一般
4、计算题 如图所示是建筑工地常用的一种“深穴打夯机”。工作时,电动机带动两个紧压夯杆的滚轮匀速转动将夯从深为h的坑中提上来,当两个滚轮彼此分开时,夯杆被释放,最后夯在自身重力作用下,落回深坑,夯实坑底。然后,两个滚轮再次压紧,夯杆再次被提上来,如此周而复始工作。已知两个滚轮边缘线速度v恒为4 m/s,每个滚轮对夯杆的正压力FN为2×104N,滚轮与夯杆间的动摩擦因数为0.3,夯杆质量m为1×103 kg,坑深h为6m。假定在打夯的过程中坑的深度变化不大,且夯杆底端升到坑口时,速度正好为零,取g=10m/s2,求:
(1)每个打夯周期中,电动机对夯杆所做的功;
(2)夯杆上升过程中被滚轮释放时夯杆底端离坑底多高;
(3)打夯周期。

参考答案:解:(1)因为夯杆底端升到坑口时,速度正好为零,所以每个打夯周期中,电动机对夯杆所做的功W=mgh=6×104 J?
(2)根据题意,考虑到夯杆先匀加速上升,后匀速上升,再竖直上抛
当夯杆以v=4 m/s的初速度竖直上抛,上升高度为:
0.8 m
此时夯杆底端离坑底△h=h-h3=5.2 m
(3)以夯杆为研究对象f1=2μN=1.2×104 N;
2m/s2
当夯杆与滚轮相对静止时:v=a1t1=4m/s,t1=2s,h1=
则当夯杆加速向上运动速度达到v=4 m/s后,夯杆匀速上升,匀速上升高度为:h2=h-h1-h3=1.2m
因此,夯杆上抛运动的时间为:
夯杆匀速上升的时间为:
夯杆自由落体的时间为:
故打夯周期为:T=t1+t2+t3+t4=3.8 s
本题解析:
本题难度:困难
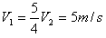
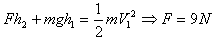
5、计算题 某同学拍一个可视为质点、质量为m=0.1kg的橡皮小球,使它在距地面高h1=0.8m的范围内做竖直方向的往复运动,在球到最高点时用手开始击打球,手与球作用过程中球下降了h2=0.05m,球从落地到反弹离地历时t=0.1s,球反弹离地时的速度大小v2是刚触地时的速度大小v1的
,且反弹恰好到最高点。若手对球和地面对球的作用力均可视为恒力,忽略空气阻力,g取10m/s2。试求:
(1)球反弹离地的速度大小v2;
(2)地面对球弹力大小FN;
(3)拍球时手对球作用力大小F。
参考答案:解:(1)球反弹离地后做竖直上抛运动,有

故
(2)以竖直向上为正方向,球从落地到反弹离地过程中,由动量定理:

?(3)从开始拍球到球刚触地过程,由动能定理:

本题解析:
本题难度:困难