1、简答题
(1)A在车上刚停止滑动时,A和车的速度大小
(2)A、B在车上都停止滑动时车的速度及此时车运动了多长时间。
(3)在给出的坐标系中画出小车运动的速度——时间图象。

参考答案:(1) 1.4m/s (2) 4.0s
(3)

本题解析:(1)当A和B在车上都滑行时,在水平方向它们的受力分析如图所示:

由受力图可知,A向右减速,B向左减速,小车向右加速,所以首先是A物块速度减小到与小车速度相等。设A减速到与小车速度大小相等时,所用时间为t1,其速度大小为v1,则:
v1=v0-aAt1??1分
μmAg=mAaB?1分
v1=a车t1?1分
μmAg-μmBg=Ma车?1分
由①②联立得:??t1="2.8s?" ?2分v1=1.4m/s 2分
(2)根据动量守恒定律有:
mAv0-mBv0=(M+mA+mB)v? ④ ;2分
v="1m/s?" ⑤?1分
总动量向右,?当A与小车速度相同时,A与车之间将不会相对滑动了。
设再经过t2时间小物体A与B、车速度相同,则: ?-v=v1-aBt2?1分
μmBg=mAaB?⑥1分
由⑥⑦式得:t2="1.2s" ? ⑦1分
所以A、B在车上都停止滑动时,车的运动时间为t=t1+t2="4.0s?" ⑧1分
(3)由(1)可知t1=2.8s时,小车的速度为v1=1.4m/s,
在0~t1时间内小车做匀加速运动。在t1~t2时间内小车做匀减速运动,末速度为v=1.0m/s,小车的速度—时间图如图所示(5分)

本题难度:简单
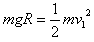
2、计算题 如图所示,放在水平面上的小车上表面水平,AB是半径为R的
光滑圆弧轨道,下端B的切线水平且与平板车上表面平齐,车的质量为m0。现有一质量为m的小滑块,从轨道上端A处无初速释放,滑到B端后,再滑到平板车上。若车固定不动,小滑块恰不能从车上掉下。(重力加速度为g):
(1)求滑块到达B端之前瞬间所受支持力的大小;
(2)求滑块在车上滑动的过程中,克服摩擦力所做的功;
(3)若车不固定,且地面光滑,把滑块从A点正上方的P点无初速释放,P点到A点的高度为h,滑块从A点进入轨道,最后恰停在车的中点。求车的最大速度。

参考答案:解:(1)根据机械能守恒定律有:
根据牛顿第二定律有:
联立两式,得轨道对滑块的支持力:
(2)滑块在车上滑动过程中,克服摩擦力做的功
(3)设滑块到B点速度为v2,有
滑块最后恰停在车的中点时,滑块与车速相同,车速最大,设为v3,有
解得:
本题解析:
本题难度:困难
3、简答题
溜冰的小孩站在冰面上靠着固定的木桩推出一冰车,可使冰车获得速度v,若他站在冰面上推出这一冰车,在做功相同的条件下,冰车可获的速度大小为多大.(冰面阻力不计)
参考答案:

本题解析:


本题难度:一般
4、选择题 如图所示,A、B两物体质量比mA:mB=3:2。原来静止在光滑的桌面边缘,A、B间有一根压缩了的弹簧,当弹簧突然释放后两物体离开桌面落地,设A、B两物体落地点各自起始点水平距离SA:SB之比为(?)

A.3:2? B. 2:3? C. 1:1? D.无法确定
参考答案:B
本题解析:本题考查的是动量守恒问题与平抛问题的结合。由
得:
.两物体脱离弹簧,做平抛运动,水平方向匀速直线运动,
答案选B。
本题难度:简单
5、计算题 (选修3-5选做题)
花样滑冰是集运动、健美、舞蹈于一身的竞技表演项目,一质量m1=60 kg的男滑冰运动员以v1=9.2 m/s的速度匀速滑行,另一质量为m2=40 kg的女滑冰运动员也匀速滑行且在t=0时刻与男运动员相距s=4.0 m,t=2.0 s时女运动员追上男运动员且被男运动员抱住完成阿尔塞托举动作,则男运动员抱住女运动员后共同速度为多少?
参考答案:解:设女运动员被抱住前的速度为v2,男运动员抱住女运动员后的共同速度为v,二者抱住的过程由动量守恒定律得m1v1+m2v2=(m1+m2)v ①
由题给条件,t=2.0s后两人相遇,即s=(v2-v1)t ②
由①②代入数据可得v=10 m/s
本题解析:
本题难度:一般