1、选择题  一物体做加速直线运动,依次通过A、B、C三点,AB=BC。物体在AB段加速度为a1,在BC段加速度为a2,且物体在B点的速度与A、 C两点速度的关系为 ,则   (   )
,则   (   )
A.a1> a2        B.a1= a2       C.a1< a2       D.不能确定
 
	参考答案:C
	本题解析:考点:匀变速直线运动的速度与时间的关系;匀变速直线运动的位移与时间的关系.
专题:直线运动规律专题.
分析:分别对AB、BC两段运动用位移-速度公式列出方程,结合vB= 即可求解.
即可求解.
解答:解:设AB=BC=x,对AB段有:2a1x=vB2-vA2,解得:a1=
对BC段有:2a2x=vC2-vB2
解得:a1= ,所以a1-a2=
,所以a1-a2= -
- 又因为vB=
又因为vB=
所以a1-a2= ,因为物体做加速直线运动,所以vC>vA
,因为物体做加速直线运动,所以vC>vA
故a1-a2<0,即a1<a2
故选C.
点评:该题主要考查了匀加速运动速度-位移公式的直接应用,计算时对同学们的数学功底要求较高,难度适中.
	本题难度:一般
	        2、选择题  如图所示,小球沿足够长的斜面向上做匀变速运动,依次经a、b、c、d到达最高点e。已知ab=bd=6m,bc=1m,小球从a到c和从c到d所用的时间都是2s,设小球经b、c时的速度分别为vb、vc,则

[? ]
A.
B.vc=3m/s 
C.de=3m 
D.从d到e所用时间为4s 
 
	参考答案:BD
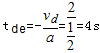
解:物体在a点时的速度大小为v0,加速度为a,
则从a到c有
即
7=2v0+2a 
物体从a到d有
即
3=v0+2a 
故
故v0=4m/s 
根据速度公式vt=v0+at
可得 vc= 故B正确.
故B正确.
从a到b有
解得
故A错误.根据速度公式vt=v0+at
可得
则从d到e有
则
故C错误. 
vt=v0+at可得从d到e的时间
故D正确.
故选B、D.
	本题解析:
	本题难度:一般
	        3、计算题  如图所示,轨道由斜面和水平两部分组成,斜面轨道倾角为θ=60°,斜面的水平投影长为L0=5m,水平轨道足够长,一小球从斜面顶端静止释放,释放的同时开始计时,在斜面上加速下滑的加速度为a1=5m/s2,在水平上减速运动的加速度为a2=2m/s2,不计小球在轨道连接处的碰撞和速率变化,求:

(1)小球从释放到斜面中点的时间;
(2)小球运动到轨道连接处的速率;
(3)小球运动6s经过的位移。
 
	参考答案:(1)t= s(2)v=10m/s(3)
s(2)v=10m/s(3)
	本题解析:(1)斜面长度为L,根据cosθ= L0/L, L=10m? 1分
根据L/2=at2/2? 2分
t= s? 1分
s? 1分
(2)根据v2=2aL? 2分
v=10m/s?1分
(3)小球在斜面上下滑的时间t1=v/a1=2s
小球在水平上向左减速的时间t2=v/a2=5s
因此小球在第6s末速度不为零
前2s在斜面上运动的水平和竖直位移分别为5m和 m? 1分
m? 1分
后4s在水平上运动的位移为L’,
根据L’=vt-at2/2 =10×(6-2)-2×(6-2)2/2=24m? 1分
所以6s内的位移为x,
根据勾股定理, ? 1分
? 1分
点评:基础题,关键对是公式的正确掌握以及利用
	本题难度:一般
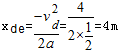
	        4、计算题  (10分)在平直公路上,一汽车的速度为16m/s,从某时刻开始刹车,在阻力作用下,汽车以2m/s2的加速度做匀减速直线运动,问刹车后第2s末和第10s末车离刹车点多远?
 
	参考答案:28m? 64m
	本题解析:刹车所用时间为:
刹车后第2s末车离刹车点的距离:
10s末车离刹车点的距离
	本题难度:一般
	        5、选择题  我国蹦床队在北京奥运会上取得金牌.假如运动员从某一高处下落到蹦床后又被弹回到原来的高度,其整个过程中的速度随时间的变化关系如图所示,其中oa段和cd段为直线,则根据此图象可知运动员(  )
A.在t1-t2时间内所受合力逐渐增大
B.在t2时刻处于平衡位置
C.在t3时刻处于平衡状态
D.在t4时刻所受的弹力最大