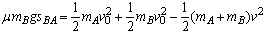
1、计算题 光滑的水平面上,质量为m1的小球甲以速率v0向右运动。在小球甲的前方A点处有一质量为m2的小球乙处于静止状态,如图所示。甲与乙发生正碰后均向右运动。乙被墙壁C弹回后与甲在B点相遇,
。已知小球间的碰撞及小球与墙壁之间的碰撞均无机械能损失,求求甲、乙两球的质量之比
。

参考答案:解:两球发生弹性碰撞,设碰后甲、乙两球的速度分别为v1、v2,则
m1v0=m1v1+m2v2
m1v02=
m1v12+
m2v22
从两球碰撞后到它们再次相遇,甲和乙的速度大小保持不变,由于BC=2AB,则甲和乙通过的路程之比为v1:v2=1:5
联立解得
本题解析:
本题难度:一般
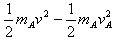
2、计算题 如图所示,长为0.60m的木板A,质量为1kg,板的右端放有物块B,质量为3kg,它们一起在光滑水平面上向左匀速运动,速度
,以后木板A与等高的竖直固定档板C发生碰撞,碰撞时间极短,且碰撞时没有机械能损失,物块B与木板A间的动摩擦因数0.4,取重力加速度
,问A、C能否发生第二次碰撞,请通过计算说明理由。若能,则第一次碰撞后再经多长时间A与C发生第二次碰撞;若不能,则第一次碰撞后A做什么运动。

参考答案:解:由于A与C碰撞没有机械能损失,A碰后原速率弹回,以
向右运动,若能与C发生第二次撞,则要求A在B对他的摩擦力的作用下,重新向左运动,且B没有滑出A。
? 设B没滑出A,达到共同速度为v,由动量守恒定律(向左为正),有
? 
? 解得
,方向向左
? B在A上滑过的距离为SBA,则
? 解得SBA=0.5m<L,B不能滑出A,故可以与C发生第二次碰撞。
? A与B达到共同速度前做匀变速运动,达到共同速率后做匀速直线运动,设加速度为a
? μmBg=mAa, a=12m/s2
? A与B达到共同速度经历的时间为t1?
? t1=v0-v/a=0.25s
? 此过程A对地向右的位移为s
? s= v02-v2/2a=0.125m, t2=s/v=0.125s
? 所以,第一次碰撞后再与C发生第二次碰撞所经历的时间为:
? t=t1+t2=0.375s
本题解析:
本题难度:困难
3、计算题 质量为3 kg的小球A在光滑水平面上以6m/s的速度向右运动,恰遇上质量为5 kg的小球B以4 m/s的速度向左运动,碰撞后B球恰好静止,求碰撞后A球的速度。
参考答案:解:两球都在光滑水平面上运动,碰撞过程中系统所受合外力为零,因此系统动量守恒,取A球初速度方向为正,由动量守恒定律有
mAvA+mBvB=mAvA"
解得
≈-0.67 m/s,负号表明速度方向与正方向相反
即碰后A球速度大小为0.67 m/s,方向向左
本题解析:
本题难度:一般
4、选择题 如图所示,两个物体1和2置于光滑的水平面上,它们的质量分别为m1和m2,且m1<m2,现将两个大小 均为F、方向相反的恒力同时作用在1和2上,经相同的距离后(两物体还没接触),撤去两个力,此后两物体碰撞并粘在一起,碰撞后,两物体将

[? ]
A.向左运动
B.向右运动
C.停止运动
D.运动,但方向不能确定
参考答案:A
本题解析:
本题难度:一般
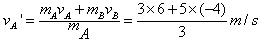
5、计算题 如图所示,固定的光滑水平绝缘轨道与半径为R=0.2m、竖直放置的光滑绝缘的圆形轨道平滑连接,圆形轨道处于电场强度大小为
,方向水平向右的匀强电场中。光滑水平绝缘轨道上有A、B、C、D四个可看作为质点的小球,已知mA=mD=0.1kg,mB=mC=0.2kg,A球带正电,电量为q,其余小球均不带电。小球C、D与处于原长的轻弹簧2连接,小球A、B中间压缩一轻且短的弹簧(弹簧弹力足够大),轻弹簧与A、B均不连接,在圆轨道的最低点由静止释放A、B后,A球在圆轨道运动时恰能做完整的圆周运动,B被弹开后与C小球碰撞且粘连在一起,设碰撞时间极短。g取10m/s2。试求:
(1)A球离开弹簧后的最小速度以及刚进入圆轨道时对轨道的压力的大小?
(2)弹簧2的最大弹性势能?

参考答案:解:(1)因带电小球A恰能做完整的圆周运动,则小球通过复合场中的最高点P的向心力由小球A的重力和电场力的合力提供,由圆周运动知识,此时速度为最小速度
设此时的速度大小为v,方向与重力的方向的夹角为θ
由牛顿第二定律:
解得:v=2m/s,tanθ=
,θ=30°
小球A从圆周轨道的最低点运动到P的过程中,由动能定理有:
-mAg(R+Rsin30°)-EqRcos30°=
代入值得:vA=4m/s
在最低点位置,由牛顿第二定律:
解得:F=9N
由牛顿第三定律,A球离开弹簧后刚进入圆轨道时对轨道的压力的大小为9N
(2)在圆周轨道的最低点弹簧将B、A两球向左、右弹开,设弹开时A、B两球的速度大小分别为vA、vB
由动量守恒有:mAvA=mBvB
代入值得:vB=vA/2= 2m/s
B与C碰撞动量守恒,设BC碰后速度为v1,则:mBvB=(mB+mC)v1
得:v1=1m/s
BC碰后,整体减速,D球加速,当两者速度相等(设为v2)时,弹簧最短,弹性势能最大
由动量守恒有:mBvB=(mB+mC+ mD)v2
代入值得:v2=0.8m/s
由能量守恒得:
J
本题解析:
本题难度:困难
Wit is the salt of conversation,not the food. 风趣是谈话中的盐,而不是主食。