1、计算题 有两个完全相同的小滑块A和B,A沿光滑水平面以速度v0与静止在平面边缘O点的B发生正碰,碰撞中无机械能损失。碰后B运动的轨迹为OD曲线,如图所示。
(1)已知滑块质量为m,碰撞时间为
,求碰撞过程中A对B平均冲力的大小。
(2)为了研究物体从光滑抛物线轨道顶端无初速下滑的运动,特制做一个与B平抛轨道完全相同的光滑轨道,并将该轨道固定在与OD曲线重合的位置,让A沿该轨道无初速下滑(经分析,A下滑过程中不会脱离轨道)。
a.分析A沿轨道下滑到任意一点的动量pA与B平抛经过该点的动量pB的大小关系;
b.在OD曲线上有一M点,O和M两点连线与竖直方向的夹角为45°。求A通过M点时的水平分速度和竖直分速度。

参考答案:
解:(1)滑动A与B正碰,满足
? mvA-mVB=mv0 ①
?
?②
? 由①②,解得vA=0,vB=v0
? 根据动量定理,滑块B满足F·
t=mv0
? 解得
(2)a.设任意点到O点竖直高度差为d。A、B由O点分别运动至该点过程中,只有重力做功,所以机械能守恒。选该任意点为势能零点,有
? EA=mgd,EB= mgd+
? 由于p=
,有
? 即PA<PB
? A下滑到任意一点的动量总和是小于B平抛经过该点的动量
b.以O为原点,建立直角坐标系xOy,x轴正方向水平向右,y轴正方向竖直向下,则
? 对B有x=v0t,y=
gt2
? B的轨迹方程y=
? 在M点x=y,所以y=
③
? 因为A、B的运动轨迹均为OD曲线,故在任意一点,两者速度方向相同。设B水平和竖直分速度大小分别为
和
,速率为vB;A水平和竖直分速度大小分别为
和
,速率为vA,则
?
?④
? B做平抛运动,故
?⑤
? 对A由机械能守恒得vA=
⑥
? 由④⑤⑥得
? 将③代入得
本题解析:
本题难度:困难
2、选择题 如图所示,位于光滑水平桌面上的小滑块P和Q都可视作质点,质量相等。Q与轻质弹簧相连。设Q静止,P以某一初速度向Q运动并与弹簧发生碰撞。在整个碰撞过程中,弹簧具有的最大弹性势能等于

[? ]
A.P的初动能
B.P的初动能的
C.P的初动能的
D.P的初动能的
参考答案:B
本题解析:
本题难度:一般
3、填空题 如图所示,光滑水平面上有大小相同的A、B两球在同一直线上运动。两球质量关系为mB=2mA,规定向右为正方向,A球的动量为6kg·m/s ,B两球的动量为4kg·m/s,运动中两球发生碰撞,碰撞后A球的动量增量为-4kg·m/s,则左方是________球,碰撞后A、B两球速度大小之比为________。

参考答案:A;1:2
本题解析:
本题难度:一般
4、选择题 在高速公路上发生一起交通事故,一辆质量为1500kg向南行驶的长途客车迎面撞上了一质量为3000kg向北行驶的卡车,碰后两辆车接在一起,并向南滑行了一小段距离后停止。根据测速仪的测定,长途客车碰前以20m/s速率行驶。由此可判断卡车的碰前行驶速率
[? ]
A.小于10m/s
B.大于10m/s,小于20m/s
C.大于20m/s,小于30m/s
D.大于30m/s,小于40m/s
参考答案:A
本题解析:
本题难度:一般
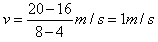
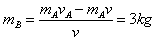
5、计算题 如图甲所示,光滑水平面上有A、B两物块,已知A物块的质量mA=1kg。初始时刻B静止,A以一定的初速度向右运动,之后与B发生碰撞并一起运动,它们的位移-时间图象如图乙所示(规定向右为位移的正方向),则物体B的质量为多少?

参考答案:解:根据公式
,由图可知
撞前
,
撞后
则由
解得
本题解析:
本题难度:一般