|
高中物理知识点总结《直线运动》试题强化练习(2019年最新版)(四)
2019-03-16 02:19:13
【 大 中 小】
|
1、填空题 一个物体做匀变速直线运动,其位移方程为x=5t-2t2m,那么,该物体运动加速度为______m/s2;2s内的位移大小为______m.
参考答案:由匀变速直线运动的位移时间公式s=v0t+12at2=5t-2t2,得:v0=5m/s,a=-4m/s2. x=v0t+12at2=5×2+12×(-4)×4m=2m 故答案为:-4;2
本题解析:
本题难度:简单
2、选择题 甲、乙两个物体在同一条直线上运动,它们的速度图象如图所示,则( ) A.甲、乙两物体都做匀加速直线运动 B.甲物体的加速度比乙物体的加速度大 C.甲物体的初速度比乙物体的初速度大 D.在t1以后的任意时刻,甲物体的速度大于同时刻乙的速度
|

参考答案:A、在v-t图象中,甲、乙两物体速度时间图象是一条倾斜直线,那么甲、乙两物体都做匀加速直线运动,故A正确. B、由于v-t的斜率等于物体的加速度,在v-t图象中,甲的直线斜率大于乙的直线斜率,所以甲的加速度小于乙的加速度,故B正确. C、甲物体的初速度为0,乙物体的初速度大于0,故C错误. D、在v-t图象中可以看出,在t1以后的任意时刻,甲物体的速度大于同时刻乙物体的速度,故D正确. 故选:ABD
本题解析:
本题难度:一般
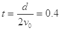
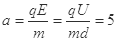
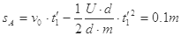
3、计算题 (12分)如图所示,带等量异种电荷的两平行金属板竖直放置(M板带正电,N板带负电),板间距为d=80cm,板长为L,板间电压为U=100V。两极板上边缘连线的中点处有一用水平轻质绝缘细线拴接的完全相同的小球A和B组成的装置Q,在外力作用下Q处于静止状态,该装置中两球之间有一处于压缩状态的绝缘轻质小弹簧(球与弹簧不拴接),左边A球带正电,电荷量为q=4×10-5C,右边B球不带电,两球质量均为m=1.0×10-3kg,某时刻装置Q中细线突然断裂,A、B两球立即同时获得大小相等、方向相反的速度(弹簧恢复原长)。若A、B之间弹簧被压缩时所具有的弹性能为1.0×10-3J,小球A、B均可视为质点,Q装置中弹簧的长度不计,小球带电不影响板间匀强电场,不计空气阻力,取g=10m/s2。求:
 (1)为使小球不与金属板相碰,金属板长度L应满足什么条件? (2)当小球B飞离电场恰好不与金属板相碰时,小球A飞离电场时的动能是多大? (3)从两小球弹开进入电场开始,到两小球间水平距离为30cm时,小球A的电势能增加了多少?
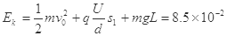
参考答案:(1) L<0.8m? (2)8.5×10-2J? (3) 5×10-4J
本题解析:(1)建立如图所示的直角坐标系。
 又机械能守恒定律 ,得小球弹开时获得的初速度 m/s? (2分) 进入电场,A球水平方向做匀减速运动,B球水平方向做匀速运动,故B碰不到极板,A球就碰不到极板。B球进入电场后向右做平抛运动,平抛时间
s,0.4s内的竖直位移 m 即,为使小球不与金属板相撞,金属板长度L<0.8m? (2分) (2)水平方向上,A球向左做匀减速运动,其加速度
m/s2,方向向右?(1分) 当小球B恰不与金属板相撞时,A球飞离电场时沿水平方向的位移
?(1分) 由功能关系得A球离开电场时的动能
J?(2分) (3)两小球进入电场后,竖直方向均做自由落体运动,加速度为g,因此,A、B两小球在运动过程中始终位于同一条直线上,当两小球间的距离为s=30cm时 解得 (舍去)? (1分) 此时A球水平位移为 ?(1分) 由功能关系得A球电势能的增加量为: J? (2分)...
本题难度:一般
4、计算题 (14分)如图所示,一上表面光滑的木箱宽L=1 m、高h=3.2 m、质量M=8 kg。木箱在水平向右的恒力F=16N作用下,以v0=3m/s在水平地面上做匀速运动。某时刻在木箱上表面的左端滑上一质量m=2 kg,速度也为3m/s的光滑小铁块(视为质点),重力加速度g取10 m/s2。求:
 (1)小铁块刚着地时与木箱右端的距离x; (2)若其它条件均不变,木箱宽L/至少为多长,小铁块刚着地时与木箱右端的距离最远?
参考答案: (1)未放小铁块,木箱受到的摩擦力为f1 则F=f1……① f1=μMg 放上小铁块,木箱受到的摩擦力为f2,此时木箱的加速度大小为a 则f2-F=Ma……② 由①②式得a=0.5m/s2 设小铁块经过t1从木箱右端滑落,有 ……③ 此时,木箱的速度v1,则 v1=v0-a t1……④ 随后,木箱在F作用下以速度v1作匀速运动,小铁块以初速度v0作平抛运动,下落时间为t2有
……⑤ ……⑥ 结合③④⑤⑥式得 x=0.8m (2)小铁块在水平方向的速度不变,平抛运动时下落时间也不变,因此,小铁块刚滑落时,要求木箱速度刚好为零,此后木箱就停止了运动,小铁块的落地点距木箱右端最远。 设小铁块在木箱上运动时间为t3,有0=v0-a t3……⑦ ……⑧ 结合⑦⑧ L/=9m
本题解析:略
本题难度:一般
5、选择题 如图所示,倾角为q的光滑斜面足够长,质量为m的物体在沿平行斜面向上的恒力F作用下,由静止从斜面底端沿斜面向上做匀加速直线运动,经过时间t,力F做功为40J,此后撤去力F,物体又经过相同的时间t回到斜面底端,若以地面为重力零势能参考面,则下列说法正确的是
 A.物体回到斜面底端的动能为40J B.恒力F=2mgsinθ C.撤去力F时,物体的重力势能为30J D.撤去力F前的运动过程中,物体的动能一直在增加,撤去力F后物体的动能一直在减少
参考答案:AC
本题解析:对物体从斜面底端沿斜面向上运动经过时间2t回到斜面底端全过程研究,重力做功为零,根据动能定理得, ,所以物体回到斜面底端的动能为 ,故A正确;设撤去F时物体的速度大小为 ,回到斜面底端时的速度大小为 ,撤F前物体的加速度大小为 ,撤F后物体的加速度大小为 ,撤F前后两个 时间内发生的位移大小相等,取沿斜面向上方向为正方向,于是有: , , ,解得: , ,根据牛顿第二定律得: , ,解得: ,故B错误;根据动能定理得:撤F前有 ,即 ,所以撤去力F时,物体的重力势能为 ,故C正确;撤去力F前的运动过程中,物体向上做匀加速直线运动,撤去F后,物体先向上做减速运动,速度减为零之后,向下加速运动,所以撤去力F后的运动过程中物体的动能是先减小后增加,故D错误。所以选AC。
本题难度:一般
|