高考省级导航

全国 A安徽 B北京 C重庆 F福建 G广东 广西 甘肃 贵州 H河南 河北 湖南 湖北 黑龙江 海南 J江苏 江西 吉林 L辽宁 N内蒙古 宁夏 Q青海 S山东 山西 陕西 四川 上海 T天津
     X新疆 西藏 Y云南 Z浙江

高考物理高频试题、高中物理题库汇总-压中真题已成为一种习惯

★力学★ 运动的描述: 质点、参考系、坐标系 时间与时刻 位移与路程 速度、速率 平均速度和瞬时速度 加速度 电磁打点计时器和电火花计时器 直线运动: 匀速直线运动 匀变速直线运动 匀变速直线运动基本公式应用 匀变速直线运动导出公式应用 自由落体运动 竖直上抛运动 探究小车速度随时间变化的规律 运动的图象 S-t图象 V-t图象 追及相遇问题 相互作用: 力的描述 重力 弹力 弹性形变和弹力 探究弹力和弹簧伸长的关系 摩擦力 滑动摩擦力 静摩擦力 力的合成与分解 平行四边形定则 力的合成 力的分解 正交分解 共点力的平衡 三力平衡 动态平衡分析 力矩平衡 牛顿运动定律: 牛顿第一定律 伽利略理想实验 惯性与质量 牛顿第二定律及应用 对单物体(质点)的应用 对质点系的应用 连接体问题 牛顿定律与图象 超重失重 探究加速度与力、质量的关系 牛顿第三定律 牛顿运动定律与电磁学综合 曲线运动: 曲线运动的特点 运动的合成与分解 位移的合成与分解 速度的合成与分解 小船渡河问题分析 最短时间过河 最短位移过河 拋体运动的规律 平抛运动的概念与轨迹 平抛运动的运动规律 研究平抛运动 斜抛运动 圆周运动 描述圆周运动的物理量 匀速圆周运动 向心力与向心加速度 圆周运动实例分析 离心运动和向心运动 万有引力与航天: 开普勒定律 万有引力定律及其应用 天体的匀速圆周运动的模型 人造卫星与飞船 近地卫星和同步卫星 宇宙速度 功和机械能: 恒力做功 变力做功 功率 功率的概念 机车启动 动能与重力势能 动能 探究功与速度变化的关系 弹性势能 动能定理及应用 动能定理的理解 动能定理的综合应用 摩擦力做功 皮带模型 机械能守恒定律 机械能 机械能守恒及其条件 机械能综合应用 能量守恒定律 功能关系 动量: 动量和冲量 动量 冲量 动量定理 动量守恒定律 碰撞 弹性碰撞 非弹性碰撞 反冲 反冲现象 爆炸 机械振动、机械波: 简谐运动 简谐运动的图象 单摆 用单摆测重力加速度 阻尼振动 受迫振动和共振 机械波的形成和传播 机械波的图象 波的干涉和衍射 多普勒效应 波长、波速和频率的关系 力学综合: 子弹打木块模型 弹簧综合 应用数学知识综合 ★电磁学★ 静电现象: 电荷 库仑定律 静电场 电场强度 电场强度的叠加 电势能和电势 等势面 电势差 电势差与电场强度的关系 静电平衡 静电场中的导体 电容器 电容 平行板电容器的电容 电容器的动态分析 电荷在电场中的加速 电荷在电场中的偏转 电荷在交变电场中的运动 示波管的原理与使用 恒定电流: 电源和电流 电流和电荷量 电阻和欧姆定律 电阻、电阻率 影响导体电阻的因素、电阻定律 导体的伏安特性曲线 电阻定律 电功率和电功 焦耳定律 闭合电路的欧姆定律 电源电动势和内阻 全电路的功和能 含容电路 半导体 超导 串联和并联 电表 电流表的构造及使用 欧姆表 练习使用多用电表 磁场: 磁现象和磁场 磁场、地磁场 磁感应强度 安培分子电流假说 通电导线在磁场中受到的力 安培力及其方向 左手定则 安培力的大小 洛伦兹力 粒子在有界磁场中运动 粒子在复合场中运动 磁场和重力场的复合 磁场、电场和重力场复合 电磁场的应用 质谱仪 回旋加速器 电磁流量计 磁流体发电机 电磁感应: 电磁感应现象 楞次定律 法拉第电磁感应定律及应用 磁通量 互感与自感 电磁感应与力学 电磁感应与电路 电磁感应与图象 电磁感应中切割类问题 电磁感应中磁变类问题 交变电流: 交变电流的产生及规律 描述交变电流的物理量 周期和频率 交流电的最大值与有效值 交流电图象 变压器原理 电能的输送 电感和电容对交流电的影响 示波器的使用 门电路 传感器: 与门、或门、非门 门电路设计与应用 传感器 电磁波: 电磁场与电磁波 电磁波的发射和接收 电磁波谱 电磁场理论 复合场: ★热学★ 分子动理论: 物质由大量分子组成 用油膜法估测分子直径的大小 分子大小与阿伏加德罗常数 分子热运动 扩散 布朗运动 分子间的作用力 分子动能、分子势能、内能 温度、温度计和温标 热力学定律: 热力学第一定律 热力学第二定律 热力学第三定律 热机: 热机原理与热机效率 内燃机原理 电冰箱与空调器 固体: 晶体和非晶体 晶体的微观结构 液体: 液体的表面张力 浸润和不浸润、毛细现象 气体: 气体的状态方程 气体实验定律 饱和汽与饱和气压 空气湿度、湿度计 物态变化中的能量交换: ★光学★ 光的反射和折射: 光的反射定律 光的折射定律 折射率 测定玻璃的折射率 全反射、临界角 光的干涉和衍射: 杨氏干涉实验 用双缝干涉测量光的波长 光的衍射 衍射光栅 光的偏振和色散: 偏振现象 偏振现象的应用 光谱 光的色散、光的颜色 薄膜干涉、衍射、折射中的色散 激光: 激光及其特点 光的粒子性: 光子的动量 光电效应 康普顿效应 物质波 光的波粒二象性 ★原子物理与相对论★ 原子结构: 原子的核式结构 氢原子光谱 玻尔原子理论 原子核: 原子核的组成 原子核的衰变、半衰期 核反应方程 质能方程 放射性的应用与防护 核裂变与核聚变 探测射线的方法 夸克: 宇宙和恒星的演化 相对论: 经典时空观与相对论时空观 狭义相对论的两个基本假设 同时的相对性 时间间隔的相对性 ★物理实验★ 力学实验 热学实验 电磁学实验 光学实验 其他实验 ★物理学史和研究方法★ 物理学史: 研究方法: 整体法隔离法 控制变量法 假设法 等效法 图象法 极限法 微元法 ★单位制及量纲★ ★当代社会热点问题★ ★其他★ 能源和可持续发展:

高考物理答题模板《导体的伏安特性曲线》在线测试(2019年最新版)(六)
2019-03-16 02:56:25 【

1、实验题  (10分)实验室有以下器材:
A.一满偏电流为300mA的电流计,它有两档内阻的正接线柱,G0档对应内阻为100W、G1档对应内阻为2.5 kW.
B.电压表量程3V,内阻约10kW;
C.电源电动势3V
D.滑动变阻器 “50W,1A”;

E. 导线、开关若干

(1) 现使用伏安法测阻值约2 kW的电阻,则测量电路部分应选下图中的?(填“甲”或“乙”)电路图,考虑电压表读数误差要求,电流计应选?档(填“G0”或“G1”)。?

(2) 由滑动变阻器规格可知,控制电路应设计成 ?接法较为合适(填 “限流” 或 “分压” )。
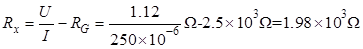
(3) 如图电流计读数为?,若电压表读数为1.12V,则该被测电阻阻值为?W。(保留3位有效数字)


参考答案:(1)甲 , G1;?(2)分压; (3)250 mA、1.98?103;


本题解析:(1)若用乙图,可计算假设当电流计满偏时,即电流为300mA时,电压表的读数为即电压表的偏转角度很小,故采用甲图的电路,且电流计选择G1档,可使两电表指针指到合适的位置。(2) 滑动变阻器阻值相对较小,故控制电路应设计成分压接法较为合适;(3)电流计读数为250 mA;被测电阻阻值为.


本题难度:一般



2、实验题  如图所示的实验说明:只要穿过闭合电路的(1)?闭合电路中就有(2)?产生。


参考答案:(1)磁通量发生变化?(2) 感应电流?。


本题解析:略


本题难度:简单



3、实验题  某同学从实验室找到一个电池(如图甲所示),为了测定该电池的电动势和内电阻,实验室中提供有下列器材:
A电流表G(滿偏电流10mA,内阻10Ω)? B电流表A(0~0.6 A~3A,内阻未知)
C滑动变阻器R(0~20Ω,1A)? D定值电阻R0(阻值990Ω)
E开关与导线若干

(1)该同学根据上述的实验器材,设计了如图乙所示的电路,请你按照电路图在答题纸的丙图上完成实物连线.
(2)丁图为该同学根据上述设计的实验电路测出的数据绘出的I1-I2图线(I1为电流表G的示数,I2为电流表A的示数),则由图线可以得到被测电池的电动势E= ? V ,内阻r=?Ω.

(3)在上述测量中,电流表A的内阻对实验结果是否有影响?回答:?(填写“是”或“否”)。


参考答案:(1)电路连接见解析;(2) 9.0 ;10.0(3)否.


本题解析:(1)电路连接如下图;(2)由全电路欧姆定律可知:,变形可得:,由图像可知:,解得:E=9.0V;r=10Ω;(3)由上述计算可知,此问题中与电流表的内阻无关,故电流表的内阻对实验结果无影响。


本题难度:一般



4、实验题  实验室内有一只指针在中间的灵敏电流计G,其刻度盘如图所示。其一侧的总格数为N,其满偏电流、满偏电压、内阻均未知,满偏电流不超过1mA,内电阻大约不超过100Ω.现要较准确地测定其满偏电流的大小,可用器材如下:
A.电压表(量程3V,内阻RV=3KΩ)
B.变阻器(总电阻50Ω)?
C.电源(电动势6V,内阻不计)
D.开关一个、导线若干。
小题1:画出测量电路图。

小题2:根据设计的电路图进行实物连图。

小题3:在所得的若干组数据中,其中一组为电流计G指针偏转了n格,电压表示数为U,
则满偏电流的表达式Ig=?(用字母表示)


参考答案:
小题1:

小题2:

小题3:


本题解析:小题1:灵敏电流计内阻较大,滑动变阻器最大阻值较小,所以要想测量其满偏电流,需要滑动变阻器的分压式接法:

小题2:先把滑动变阻器串联在电路中,然后再把其两个接线柱并联在电流表和电压表上,因为灵敏电流计电阻比较大,所以直接和电压表串联即可:

小题3:根据串并联关系:,所以.
N表示总个数,n表示指针偏转到的位置,U为电压表的读数;RV表示电压表的内阻。


本题难度:简单



5、选择题  如图所示,用伏安法测Rx时,不知Rx大约数值,为了选择正确电路减小误差,先将仪器接好,只空出电压表的一个接头K,然后将K和ab分别接触一下,则 

A.若A示数有明显变化,K应接a
B.若A示数有明显变化,K应接b
C.若V示数有明显变化,K应接a
D.若V示数有明显变化,K应接b


参考答案:BC


本题解析:若Ka移到b时,安培表读数有显著变化,说明伏特表的分流明 显,K应接在b处;若Ka移到b时,伏特表读数有显著变化,说明电流表的分压明显,K应接在a处.


本题难度:一般



】【打印繁体】 【关闭】 【返回顶部
下一篇高考物理高频考点《V-t图象》试题..

问题咨询请搜索关注"91考试网"微信公众号后留言咨询