1、选择题 如图所示,质量不等的木块A和B的质量分别为m1和m2,置于光滑的水平面上.当水平力F作用于左端A上,两物体一起做匀加速运动时,A、B间作用力大小为F1.当水平力F作用于右端B上,两物体一起做匀加速运动时,A、B间作用力大小为F2,则( )


A.在两次作用过程中,物体的加速度的大小相等
B.在两次作用过程中,
C.在两次作用过程中,
D.在两次作用过程中,
参考答案:AC
本题解析:当水平力F作用于左端A上,两物体一起做匀加速运动时,由牛顿第二定律,可得整体的加速度
,方向向右,对木块B,由牛顿第二定律,可得
;当水平力F作用于左端B上,两物体一起做匀加速运动时,由牛顿第二定律,可得整体的加速度
,方向向左,对木块A,由牛顿第二定律,可得
,因此,在两次作用过程中,物体的加速度的大小相等,
,
,正确选项为A、C。
本题难度:一般
2、简答题 电磁炮是利用磁场对电流的作用力,把电能转变成机械能,使炮弹发射出去的.如图所示,把两根长为s,互相平行的铜制轨道放在磁场中,轨道之间放有质量为m的炮弹,炮弹架在长为l、质量为M的金属杆上,当有大的电流I1通过轨道和炮弹时,炮弹与金属架在磁场力的作用下,获得v1速度时刻加速度为a,当有大的电流I2通过轨道和炮弹时,炮弹最终以最大速度v2脱离金属架并离开轨道,求垂直于轨道平面的磁感强度多大?(设金属架与炮弹在运动过程中所受的总阻力与速度平方成正比).
参考答案:设运动中受总阻力Ff=kv2,炮弹与金属架在磁场和阻力合力作用下加速,
根据牛顿第二定律得:
获得v1速度时,BI1L-kv21=(M+m)a…①
当炮弹速度最大时,有BI2L=kv22…②
解得垂直轨道的磁感强度为B=(M+m)av22l(I1v22-I2v21).
答:垂直于轨道平面的磁感强度为:B=(M+m)av22l(I1v22-I2v21).
本题解析:
本题难度:一般
3、选择题 如图,发射远程轨道导弹,弹头脱离运载火箭后,在地球引力作用下,沿椭圆轨道飞行,击中地面目标B。C为椭圆的远地点,距地面高度为h。已知地球半径为R,地球质量为M,引力常量为G。关于弹头在C点的速度v和加速度a,正确的是 (?)?

A.
?
B.
?
C.
?
D.
?
参考答案:B
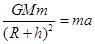
本题解析:由于通过C点后导弹做近心运动,因此
,可得在C的速度
,而根据牛顿第二定律,在C点处
,可知加速度
,B正确
本题难度:一般
4、选择题 一重为G的物体在重力和恒力F的共同作用下沿与竖直方向成θ角的直线匀加速向下运动,关于F的大小,下列说正确的是( )
A.一定等于Gtanθ
B.一定等于Gsinθ
C.不可能大于G
D.不可能小于Gsinθ
参考答案:

据题,物体在重力和恒力F的共同作用下沿与竖直方向成θ角的直线匀加速向下运动,根据物体做直线运动的条件可知,物体所受的合力方向必沿此直线方向,由根据平行四边定则作出力的合成图如图,由图看出,当F与此直线垂直时,F有最小值,最小值为Fmin=Gsinθ,所以F不可能小于Gsinθ,不一定等于Gtanθ,也不一定等于Gsinθ,可能大于G.所以选项ABC错误,D正确.
故选D
本题解析:
本题难度:简单
5、填空题 物体在水平地面上受到水平推力的作用,在6s内力F的变化和速度v的变化如图所示,则物体的质量和物体与地面的动摩擦因数分别为______、______.

参考答案:由v-t图象看出,物体在2s-6s做匀速直线运动,则f=F2=1N
由速度图象可知,0-2s物体加速度为a=△v△t=12=0.5m/s2
F=3N
由牛顿第二定律得:F-f=ma
代入解得:m=4kg,
(3)由f=μN=μmg
得:μ=0.025
故答案为:4kg,0.025
本题解析:
本题难度:一般
Grasp all, lose all. 贪多必失.