1、简答题 如图所示,竖直放置的U型管,左端封闭,右端开口,管内水银将长19cm的空气封在左管内,此时两管内水银面的高度差为4cm,大气压为标准大气压.要使两管内水银面高度差为2cm,则需注入水银柱长度为多少.

参考答案:
3cm或9cm
本题解析:

本题难度:简单
2、计算题 若一条鱼儿正在水下10m处戏水,吐出的一个体积为1cm3的气泡.气泡内的气体视为理想气体,且气体质量保持不变,大气压强为P0=1.0×105Pa,g=10m/s2,湖水温度保持不变.
①气泡在上升的过程中,气体吸热还是放热?请简述理由。
②气泡到达湖面时的体积多大?
参考答案:① 吸热 ②2cm3
本题解析:① 吸热(1分),气泡上升的过程中体积增大,对外做功,由于保持温度不变,故内能不变,由热力学第一定律可得,气泡需要吸热(2分)。
②气泡初始时的压强P1= P0+ρgh=2.0×105Pa (2分)
气泡浮到水面上的气压P1= P0=1.0×105Pa
由气体的等温变化可知,P1V1= P2V2 (2分)
带入数据可得:V2=2cm3 (1分)
考点:热力学第一定律,气体实验定律
本题难度:一般
3、选择题 下列各图中,P表示压强,V表示体积,T表示热力学温度,T表示摄氏温度,各图中正确描述一定质量理想气体等压变化规律的是
[? ]
A.
B.
C.
D.
参考答案:AC
本题解析:
本题难度:一般
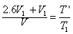
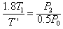
4、计算题 如图所示,一根粗细均匀、内壁光滑、竖直放置的玻璃管下端密封,上端封闭但留有一抽气孔。管内下部被活塞封住一定量的气体(可视为理想气体),气体温度为T1。开始时,将活塞上方的气体缓慢抽出,当活塞上方的压强达到P0时,活塞下方气体的体积为V1,活塞上方玻璃管的容积为2.6V1。活塞因重力而产生的压强为0.5p0,继续将活塞上方抽成真空并密封。整个抽气过程中管内气体温度始终保持不变。然后将密封的气体缓慢加热。求:
(1)活塞刚碰到玻璃管顶部时气体的温度;
(2)当气体温度达到1.8T1时气体的压强。

参考答案:解:(1)由玻意耳定律得:
,式中V是抽成真空后活塞下方气体体积
由盖·吕萨克定律得:
解得:T"=1.2T1
(2)由查理定律得
解得:p2=0.75P0
本题解析:
本题难度:一般
5、计算题 一个水平放置的气缸,由两个截面积不同的圆筒联接而成。活塞A、B用一长为4L的刚性细杆连接,L= 0.5 m,它们可以在筒内无摩擦地左右滑动。A、B的截面积分别为SA=40 cm2,SB=20 cm2,A、B之间封闭着一定质量的理想气体,两活塞外侧(A的左方和B的右方)是压强为P0=1.0×105Pa的大气。当气缸内气体温度为T1=525 K时两活塞静止于如图所示的位置。
(1)现使气缸内气体的温度缓慢下降,当温度降为多少时活塞A恰好移到两圆筒连接处?
(2)若在此变化过程中气体共向外放热500 J,求气体的内能变化了多少?

参考答案:解:(1)对活塞受力分析,活塞向右缓慢移动过程中,气体发生等压变化
由盖·吕萨克定律有
代人数值,得T2=300 K时活塞A恰好移到两筒连接处
(2)活塞向右移动过程中,外界对气体做功W=P0·3L(SA-SB)=1×105×3×0.5×(4×10-3-2×10-3)J=300 J
由热力学第一定律得△U=W+Q=300-500 J=-200 J
即气体的内能减少200 J
本题解析:
本题难度:困难