| 高考省级导航 | |
|
|
|
高中物理知识点复习《电荷在电场中的加速》答题技巧(2019年最新版)(二)
参考答案:D 本题解析:由于电场线从O指向Q,因此带正电的试探电荷做加速运动,但由于电场强度先增加后减小,因此加速度先增大后减小,但速度一直增加,即动能一直线增,电势能一直减小,D正确。ABC错误。 本题难度:一般 2、选择题 如图所示,在P板附近有一电子由静止开始向Q板运动,则关于电子在两板间的运动情况,下列叙述正确的是: |
参考答案:AC
本题解析:电子的加速度为
,由d=
at2得,
∝d,故两板间距越大,加速的时间越长.故A正确.根据动能定理得:qU=
mv2,则得电子到达Q板时的速度
,与两板间的距离无关,与加速电压有关.故B错误,C正确.电子的加速度为
,与两板间的距离有关.故D错误.故选:AC.
考点:带电粒子在电场中的运动.
本题难度:一般
3、简答题 如图是静电分选器的原理示意图,将磷酸盐和石英的混合颗粒由传送带送至两个竖直的带电平行板上方,颗粒经漏斗从电场区域中央处开始下落.经分选后的颗粒分别装入A.B桶中.混合颗粒离开漏斗进入电场时磷酸盐颗粒带正电,石英颗粒带负电,所有颗粒所带的电量与质量之比均为10–5C/kg.若已知两板间的距离为10cm,颗粒在电场中下落的竖直高度为50cm.设颗粒进入电场时的初速度为零,颗粒间的相互作用力不计.如果要求两种颗粒离开两极板间的电场区域时不接触到极板而且有最大的偏转量.
(1)两极板间所加的电压.
(2)若带电平行板的下端距A.B桶底的高度为H=1.0m,求颗粒落至桶底时的速度大小
?
参考答案:(1)?
?(2)5.5m/s
本题解析:
(1)由自由落体公式L=gt2/2,得出颗粒在电场中下落的时间
.
颗粒在水平方向作匀加速直线运动,加速度大小为a=qU/md,离开电场时水平方向上的位移为d/2,有
,解出
.
(2)根据动能定理,
,
解得
.
本题难度:简单
4、选择题 一带电粒子在正电荷形成的电场中运动,运动轨迹为图中所示的abcd曲线,下列判断正确的是(?)
A.粒子带正电
B.粒子通过a点时的速率比通过b点时小
C.粒子通过a点时受到的电场力比通过b点时小
D.粒子通过a点时的电势能比通过c点时大
参考答案:AC
本题解析:根据轨迹弯曲方向得出电场力的方向,从而确定带电粒子的电性.根据动能定理比较a点、b点的速度大小;根据电场线的疏密比较电场力的大小;根据电场力做功比较电势能的大小.
A、轨迹弯曲的方向大致指向合力的方向,知电场力背离正电荷方向,所以该粒子带正电.故A正确.
B、从a到b,电场力做负功,根据动能定理,动能减小,a点动能大于b点动能,则a点速度大于b点的速度.故B错误.
C、b点的电场线比a点电场线密,所以b点的电场强度大于a点的电场强度,所以粒子在a点的电场力比b点小.故C正确.
D、从a到b,电场力做负功,电势能增加.所以a点的电势能小于b点的电势能.故D错误.
故选:AC.
本题难度:简单
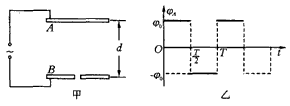
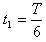
5、计算题 如图甲所示,A、B两块金属板水平放置,相距为d=0.6 cm,两板间加有一周期性变化的电压,当B板接地(
)时,A板电势
,随时间变化的情况如图乙所示。现有一带负电的微粒在t=0时刻从B板中央小孔射入电场,若该带电徽粒受到的电场力为重力的两倍,且射入电场时初速度可忽略不计。求:
(1)在0~
和
~T这两段时间内微粒的加速度大小和方向;
(2)要使该微粒不与A板相碰,所加电压的周期最长为多少(g=10 m/s2)。
参考答案:解:(1)设电场力大小为F,则F= 2mg,对于t=0时刻射入的微粒,在前半个周期内,有
,方向向上
后半个周期的加速度a2满足
,方向间下
(2)前半周期上升的高度
前半周期微粒的末速度为
后半周期先向上做匀减速运动,设减速运动时间t1,则3gt1=
,
此段时间内上升的高度
则上升的总高度为
只要在上升过程中不与A板相碰即可,则
,即
所加电压的周期最长为
本题解析:
本题难度:困难
| 【大 中 小】【打印】 【繁体】 【关闭】 【返回顶部】 | |
| 下一篇:高考物理题《传感器》高频试题特.. | |