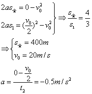
1、计算题 如图所示,AB为粗糙程度不变的水平地面,BC为粗糙程度不变的斜面,B点有微小的圆弧与两个面相切过渡。一物体(可看作质点)从A点以某一速度出发做匀减速运动并冲上斜面BC直到速度为零,以出发点为计时起点,各时间点的速度如下表所述。试求物体在斜面上运动的最远距离。

t(s)
| 0
| 1
| 2
| 3
| 4
| 5
|
V(m/s)
| 15
| 13
| 11
| 8
| 4
| 0
|
?
参考答案:
本题解析:从表中可得物体在AB方向上运动的加速度为:
在BC方向上运动的加速度为:
设物体在AB方向上运动的时间为
,则
设物体在BC方向上运动的时间为
,则
又知道
联立解得:

所以
,
本题难度:一般
2、计算题 如图所示,一小物体(可看做质点)从A点以v0=4m/s的初速度滑上斜面,上滑到B点后沿原路返回。A到B的距离为1m,斜面的倾角θ=37°。(g取10m/s2)

小题1:求小物体与斜面间的动摩擦因数μ
小题2:取水平地面为零重力势能面,若小物体返回经过C点时其动能恰好与重力势能相等,则C点相对水平地面的高度h为多大?
参考答案:
小题1:
小题2:
本题解析:①(7分)设物体的质量为m,物体与斜面间的动摩擦因数为μ。物体有A上滑到B做匀减速运动,设加速度的大小为a,由牛顿第二定律得:
?(2分)
又由运动学公式可得:
(2分)
代入数据可解得:
?(2分)
②(7分)设物体返回经过C点时速度的大小为v1,对于物体从B到C的过程,由动能定理有:
?(3分)
又根据题意有:
?(3分)
代入数据可得:
?(2分)
本题难度:简单
3、计算题 一列火车进站前先关闭气阀(动力系统),让车滑行,滑行了300m时,速度恰为关闭气阀时速度的一半,此后,又继续滑行了20s,停止在车站,设火车在滑行过程中加速度始终保持不变,试求:
(1)火车从关闭气阀到停止滑行时,滑行的总距离;
(2)火车滑行的加速度大小;
(3)火车关闭气阀时的瞬时速度大小。
参考答案:解:由运动学公式得

本题解析:
本题难度:一般
4、简答题 .一辆执勤的警车停在某测速点,当警员发现从他身边以8m/s的速度匀速行驶的货车有违章行为时,决定前去追赶,警员以加速度a=2m/s2做初速度为0的匀加速直线运动追赶货车,试问:
(1)警车要多长时间才能追上违章的货车?
(2)警车追上货车时,货车已经驾离测速点多少米?
(3)在警车追上货车之前,两车之间的最大距离是多少?
参考答案:(1)设经过t时间警车追上货车.
此时警车的位移x1=12at2.货车的位移x2=v0t
根据12at2=v0t,解得t=8s.
故经过8s警车追上货车.
(2)x2=v0t=8×8m=64m.
故警车追上货车时,货车已经驾离测速点64m.
(3)当两车速度相等时,两车距离最大.
v0=at′,解得t′=v0a=82s=4s.
此时货车的位移x2′=v0t′=32m.警车的位移x1′=12at′2=12×2×16m=16m
△x=x2′-x1′=16m.
故在警车追上货车之前,两车之间的最大距离是16m.
本题解析:
本题难度:一般
5、选择题 有一高度为H的田径运动员正在进行100m的国际比赛,在终点处有一站在跑道旁边的摄影记者用照相机给他拍摄冲线运动情况.摄影记者使用的照相机的曝光时间是△t,得到照片后测得照片中运动员的高度为h,运动员胸前号码布影象模糊部分的宽度是△L,由以上数据可以估算出( )
(1)曝光时间△t内运动员的位移;?(2)运动员的冲线速度;
(3)100m内运动员的平均速度;?(4)100m比赛过程中运动员的加速度.
A.(1)(3)
B.(2)(3)
C.(2)(4)
D.(1)(2)
参考答案:(1)、(2)胸前号码上的模糊部分的宽度为△L,即为两次曝光时运动员的底片上的位移,根据运动员底片上的高度和实际高度的比例即可求得两次曝光的实际位移为:x=Hh△L,所以冲刺时的瞬时速度v=x△t=H△Lh△t.故(1)、(2)均正确;
(3)100m内的平均速度等于总位移除以总时间,因无法求得时间,所以无法求出平均速度,故(3)错误;
(4)比赛过程中运动员的加速度是变化的,无法求出.故(4)错误.
故选D
本题解析:
本题难度:简单