1、计算题 【选修3-5选做题】
质量分别为m1和m2的两个小球在光滑的水平面上分别以速度v1、v2同向运动并发生对心碰撞,碰后m2被右侧的墙原速弹回,又与m1相碰,碰后两球都静止,求:第一次碰后m1球的速度。

参考答案:解:根据动量守恒定律得
解得
本题解析:
本题难度:一般
2、计算题 某兴趣小组设计了一种实验装置,用来研究碰撞问题,其模型如图所示。用完全相同的轻绳将N个大小相同、质量不等的小球并列悬挂于一水平杆、球间有微小间隔,从左到右,球的编号依次为1、2、3……N,球的质量依次递减,每球质量与其相邻左球质量之比为k(k<1)。将1号球向左拉起,然后由静止释放,使其与2号球碰撞,2号球再与3号球碰撞……所有碰撞皆为无机械能损失的正碰。(不计空气阻力,忽略绳的伸长,g取10 m/s2)
(1)设与n+1号球碰撞前,n号球的速度为vn,求n+1号球碰撞后的速度。
(2)若N=5,在1号球向左拉高h的情况下,要使5号球碰撞后升高16h(16 h小于绳长),问k值为多少?

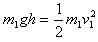
参考答案:解:(1)设n号球质量为m,n+1号球质量为mn+1,碰撞后的速度分别为
,取水平向右为正方向,据题意有n号球与n+1号球碰撞前的速度分别为vn、0
根据动量守恒有:mnvn=mnvn′+kmnvn+1′
根据机械能守恒有:
mnvn2=
mnvn′2+
kmnvn+1′2
解得:vn+1′=
(vn+1′=0舍去)
(2)设1号球摆至最低点时的速度为v1,由机械能守恒定律有
v1=
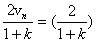
同理可求,5号球碰后瞬间的速度v5=
设n+1号球与n+2号球碰前的速度为vn+1
据题意有:vn+1=
得:vn+1=
nv1
n=5时:v5=(
)4v1
解得:k=

本题解析:
本题难度:困难
3、计算题 如图所示,一质量m1=0.2kg的小球,从光滑水平轨道上的一端A处,以v1=2.5m/s的速度水平向右运动。轨道的另一端B处固定放置一竖直光滑半圆环轨道(圆环半径比细管的内径大得多),轨道的半径R=10cm,圆环轨道的最低点与水平轨道相切;空中有一固定长为15cm的木板DF,F端在轨道最高点C的正下方,竖直距离为5cm。水平轨道的另一端B处有一质量m2=0.2kg的小球,m1、m2两小球在B处发生的是完全弹性碰撞,重力加速度为g=10m/s2。求:
(1)经过C点时,小球m2对轨道的作用力的大小及方向?
(2)m2小球打到木板DF上的位置?

参考答案:解:(1)在B处m1与m2发生的是完全弹性碰撞,有:
?①
?②
由①②式解得:
,
(或因m1与m2发生的是完全弹性碰撞,且
,所以两球交换速度。得
)
由B到C的过程,机械能守恒,有
③
由③代入数据得
在C点,对m2根据牛顿第二定律:
④
由④代入数据得:
,方向竖直向下
据牛顿第三定律知:小球对轨道的作用力大小为0.5N,方向竖直向上
(2)小球从C飞出做平抛运动,有
?⑤
?⑥
由⑤⑥解得:
,所以物体刚好落在木板的D点上
本题解析:
本题难度:困难
4、计算题 如图所示,A、B、C三个物体质量均为m,其中厚度相同的A、B位于光滑的水平面上,可视为质点的小物块C放在静止的B物体上,物体A以速度v0。向物体B运动,与B发生碰撞(碰撞时间极短),碰后A、B以相同的速度运动,但互不粘连;C滑过B后又在A上滑行,最后停在A上,与A一起以
的速度运动。求:
(1)物体B最终的速度;
(2)小物块C在物体A和物体B上滑行过程中由于摩擦产生的热量之比。

参考答案来源:91考试网 91ExaM.org:解:(1)从最初A以速度υ0运动到最终AC以共同速度υ4运动、同时B以速度υ2匀速运动的过程中,对ABC组成的系统全过程由动量守恒定律有:
求得:
(2)如图1,从A以速度υ0运动到与B相碰获得共同速度(设为υ1)的过程中,对AB组成的系统由动量守恒定律得:
设C离开B的瞬时速度为υ3,AB整体的速度减小为υ2,如图2所示,对ABC组成的系统由动量守恒定律得:
设该过程中C在B上滑行由于摩擦产生的热量为QB,由能量关系可得:
C以速度υ3离开B滑上A后,AB分离,B以速度υ2匀速运动,C和A相互作用至达到共同速度υ4,如图3所示。该过程中对A、C组成的系统由动量守恒定律有:
设该过程中C在A上滑行由于摩擦产生的热量为QA,由功能关系可得:
联立以上各式及题中已知
,可得:

本题解析:
本题难度:困难
5、选择题 A、B两球在光滑水平面上作相向运动,已知mA>mB,当两球相碰后,其中一球静止,则可以断定
[? ]
A.碰前A的动量与B的动量大小相等
B.碰前A的动量大于B的动量
C.若碰后A静止,则碰前A的动量大于B的动量
D.若碰后B静止,则碰前A的动量大于B的动量
参考答案:C
本题解析:
本题难度:一般
A good anvil does not fear the hammer. 好砧不怕铁锤砸.