1、填空题 A物体的质量为m,B物体的质量为2m,它们在同一直线上运动且发生正碰,碰撞前A和B的动量大小相等,碰撞后A的速度方向不变,但大小变为原来的一半,则碰撞后A和B的速度方向_______(填“相同”或“相反”),其大小之比vA∶vB=_______。
参考答案:相同,2∶3
本题解析:
本题难度:一般
2、计算题 如图所示,光滑水平直轨道上有三个滑块A、B、C,质量分别为mA=mC=2m,mB=m,A、B用细绳连接,中间有一压缩的轻弹簧(弹簧与滑块不拴接)。开始时A、B以共同速度v0运动,C静止。某时刻细绳突然断开,A、B被弹开,然后B又与C发生碰撞并粘在一起,最终三滑块速度恰好相同。求B与C碰撞前B的速度。

参考答案:解:设共同速度为v,球A与B分开后,B的速度为vB,由动量守恒定律
(mA+mB)v0=mAv+mBvB ①
mBvB=(mB+mC)v ②
联立①②式,得B与C碰撞前B的速度
③
本题解析:
本题难度:一般
3、计算题 如图所示,一质量为m的小物块B,放在质量为M的长木板A的左端,m=3M。长木板A静止在光滑水平面上,A、B之间的动摩擦因数为μ。现使二者一起以初速度
开始向右运动,运动一段距离后,长木板A与固定竖直挡板相撞。已知A与挡板碰撞时间极短,且无机械能损失。运动过程中,B始终没从长木板A上脱落。求:
(1)长木板A第二次与挡板碰撞前,B在A上的滑痕长度s;
(2)当长木板A长度L满足什么条件时,保证B不会从A上脱落。

参考答案:解:(1)长木板A与挡板碰后,被等速率反弹。木板A与物块B系统动量守恒,设第一次达到共速
,取向左为正。则有:?
? 
? 解得
,方向向右
? 长木板A向左作匀减速运动,共速时滑痕最长。设最大滑痕为s1
? 据能量守恒:
? 解得:
(2)B始终没从板A上脱落,则长木板A与B将再次共速,一起向右运动,重复(1)问中的运动,直至二者速度均为零,板A右端挨着挡板。由于B一直相对A向右运动,则B相对A滑动的总路程与B相对A滑动的位移相等。设木板最短长度为
,据系统能量守恒,则有:
? 
? 解得:
本题解析:
本题难度:困难
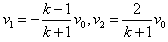
4、计算题 左端固定在墙壁上的轻弹簧将一质量为M的小物块A弹出,物块A离开弹簧后与一质量为m的静止在水平地面上的小物块B发生弹性正碰,如图所示,一切摩擦均不计,为使二者至少能发生两次碰撞,则m与M的比值应满足什么条件?

参考答案:解:设A与B碰撞前的速度为v0,碰后A与B的速度分别为v1与v2,由动量守恒及机械能守恒定律有:
Mv0=Mv1+mv2

令m与M的比为k,由此解得:
为使A碰后能返回,要求v1<0,即k>1
为使A返回再能追上B,应有-v1>v2,k-l >2,即k>3
即为使二者至少能发生两次碰撞,则m与M的比值要大于3
本题解析:
本题难度:一般
5、选择题 不定项选择
质量相同的三个小球a、b、c,在光滑水平面上以相同的速率分别与原来静止的三个小球A、B、C发生正碰;a与A碰后,a球继续沿原来方向运动;b与B相碰后,b球静止不动;c与C碰后,c球被弹回而反向运动。可知碰后A、B、C三球动量大小的关系是( ? )
A.pA<pB<pC
B.pA>pB>pC
C.pB>pC>pA
D.pA=pB=pC
参考答案:A
本题解析:
本题难度:一般