1、简答题 如图所示,一闭合金属环从上而下通过通电螺线管,b为螺线管的中点,金属环通过a、b、c三处时,能产生感应电流吗?

参考答案:通电长直螺线管内部的磁感线为均匀分布的,而在管外部两侧越往外磁感线越稀疏,故金属环在a位置下落时穿过环的磁通量增加,有感应电流,
在b位置下落时,磁通量不变,没有感应电流;
在c位置下落时,磁通量减小,故有感应电流,
答:金属环通过a、c处时产生感应电流;通过b处时不产生感应电流.
本题解析:
本题难度:一般
2、填空题 如图,单匝线圈ABCD在外力作用下以速度v向右匀速进入匀强磁场,第二次又以速度3v匀速进入同一匀强磁场。第二次与第一次线圈中最大电流之比_________;第二次与第一次外力做功的最大功率之比_________;第二次与第一次线圈中产生热量之比_________。

参考答案:3:1;9:1;3:1
本题解析:
本题难度:一般
3、简答题 如图,两根相距l=1m平行光滑长金属导轨电阻不计,被固定在绝缘水平面上,两导轨左端接有R=2Ω的电阻,导轨所在区域内加上与导轨垂直、方向相反的磁场,磁场宽度d相同且为0.6m,磁感应强度大小B1=
T、B2=0.8T.现有电阻r=1Ω的导体棒ab垂直导轨放置且接触良好,当导体棒ab以v=5m/s从边界MN进入磁场后始终作匀速运动,求:
(1)导体棒ab进入磁场B1时拉力的功率;
(2)导体棒ab经过任意一个B2区域过程中通过电阻R的电量;
(3)导体棒ab匀速运动过程中电阻R两端的电压有效值.
参考答案:(1)在B1中时,E1=B1lv
?I1=E1R+r
F=B1I1l
?P=Fv=23W=0.67W?
(2)电量q=I2△t2?闭合电路欧姆定律I2=B2lvR+r
位移?d=v△t?
?解得:q=0.16C?
(3)导体棒进入B2时,电动势E2=B2lv=4V?
?设电动势有效值为EE21R+r×T2+E22R+r×T2=E2R+r×T
?解得:E=3V?
电阻R两端电压有效值为?UR=ER+rR=2V?
答:(1)导体棒ab进入磁场B1时拉力的功率0.67W(2)导体棒ab经过任意一个B2区域过程中通过电阻R的电量0.16c;(3)电阻R两端电压有效值为2V.
本题解析:
本题难度:一般
4、简答题 如图甲所示,一边长为L=1m,电阻为R=3
的正方形金属线框MNPQ水平平放在光滑绝缘水平地面上,在地面上建立如图所示坐标系,空间存在垂直地面的磁场,在
m的区域I中磁场方向向上,在
m的区域II中磁场方向向下,磁感应强度的大小随x的变化规律如图乙,开始时刻线框MN边与y轴重合。
(1)若给线框以水平向右的初速度,同时在PQ边施加一水平拉力,之后线框做
的匀速直线运动,求线框运动3m的过程中水平拉力所做的功;
(2)若在图示位置给线框一初速度,线框的PQ边恰能运动到磁场区域II的右边界,设线框全部在区域I中运动时产生的热量为Q1,线框全部在区域II中运动时产生的热量为Q2,求
。
?
参考答案:(1) 0.223J ?(2)
本题解析:(1)线框在区域I中,P距O点x时,PQ切割磁感线产生的感应电动势为
?
MN切割磁感线产生的感应电动势为
?
线框中的感应电动势为
=
=
V?
类似的,PQ在区域II中距中间边界
时,而MN在区域I中时,线框中的感应电动势为
=
V?
线框全部在区域II中,PQ距中间边界
时线框中的感应电动势为
=
V
由于线框匀速运动,故水平拉力做的功等于线框中产生的焦耳热,则


=0.223J?
(2)线圈运动时产生的平均感应电动势
,
,电量
,
联立化简得
?
设初速度为
,右边框到达中间界线时速度为
,左边框到达中间界线时速度为
,则据动量定理有:
?
?
?
其中
,
?
则
,
?
故线框全部在在区域I运动时产生的热量为
?
线框全部在在区域II运动时产生的热量为
?
则
本题难度:一般
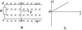
5、选择题 如图甲所示,固定在水平桌面上的光滑金属框架cdeg处于方向竖直向下的匀强磁场中,金属杆ab与金属框架接触良好.在两根导轨的端点d、e之间连接一电阻,其他部分电阻忽略不计.现用一水平向右的外力F作用在金属杆ab上,使金属杆由静止开始向右在框架上滑动,运动中杆始终垂直于框架.图乙为一段时间内金属杆中的电流随时间t的变化关系图象,则下列选项中可以表示外力F随时间t变化关系的图象是( ? ).

参考答案:B
本题解析:由感应电动势
,电流
得到安培力
,由图
,则
,说明导体做匀加速运动,那么
;根据牛顿第二定律,得
得到
故B正确
故选B
点评:本题由电磁感应知识和牛顿定律结合,得到F的解析式选择图象,这是常用方法.关键是安培力的分析和计算.
本题难度:一般