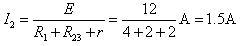
1、填空题 某同学将一直流电源的总功率PE、输出功率PR和电源内部的发热功率Pr随电流I变化的图线画在了同一坐标内,如右图所示,则电源内阻r=__________Ω,当电流为1.5A时,外电路的电阻R=__________Ω。

参考答案:4;4/3
本题解析:电源的总功率:
,则电源的电动势
;电源的输出功率
;电源内部的发热功率
,由图像知,当I=1A时,Pr=4W,则
;当电流为1.5A时,
,则
。
考点:电功率的计算.
本题难度:一般
2、计算题 如图所示,电源的电动势为E=10V,内阻r=0.5Ω,分压电阻R1=1.5Ω,电动机绕组电阻R0=1.0Ω,当开关S闭合时,电动机刚好正常工作,电压表的示数UM=6V。求:
(1)电路中的电流;
(2)电动机输出的机械功率;
(3)试计算整个电路因发热损失的电能占消耗电能的比例。

参考答案:解:(1)电路中的电流
(2)电动机输出功率
(3)
发热损耗率
本题解析:
本题难度:一般
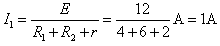
3、计算题 如图所示电路中,电源电动势E=12V,内阻r=2Ω,R1=4Ω,R2=6Ω,R3=3Ω。
(1)若在C、D间连一个理想电压表,其读数是多少?
(2)若在C、D间连一个理想电流表,其读数是多少?

参考答案:解:(1)
理想电压表读数为UV=I1R2=6V
(2)若在C、D间连一个理想电流表,这时电阻R2与R3并联
并联电阻大小
根据闭合电路欧姆定律
理想电流表读数为
本题解析:
本题难度:一般
4、选择题 如图所示的电路,当闭合开关时,灯L1、L2正常发光.由于电路出现故障,突然发现灯L1变亮,灯L2变暗,电流表的读数变小.试根据上述现象判断,发生的故障可能是( )
A.R1断路
B.R2断路
C.R3短路
D.R4短路