1、填空题 如图所示,在相互垂直的匀强电场和匀强磁场中,电荷量为q的液滴在竖直平面内做半径为R的匀速圆周运动,已知电场强度为E,磁感应强度为B,则液滴沿_________(填顺时针或逆时针)方向做匀速圆周运动,液滴的质量_________,匀速圆周运动的速度大小为_________(重力加速度为g)。

参考答案:逆时针;
;
本题解析:
本题难度:一般
2、计算题 (10分)如图所示,一倾角为θ=37o的绝缘斜面高度为h=3m,底端有一固定挡板,整个斜面置于水平向右匀强电场中,场强E=1×106N/C.现有一质量为m=0.2kg,电荷量为q=-1×10-6C的小物体,沿斜面顶端从静止开始下滑,小物体与斜面间的动摩擦因数为?=0.2,且小物体与挡板碰撞时不损失机械能(g=10m/s2,sin37o=0.6,cos37o=0.8)求:

(1)小物体第一次与挡板碰撞前瞬间的动能;
(2)小物体从静止开始下滑到最后停止运动通过的总路程s.
参考答案:(1)
(2) 
本题解析:对物块进行受力分析,如图所示

解:(1)在运动过程中重力、静电力、摩擦力做功,
根据动能定理得?
.......(2分)?
?.....................................(1分)
? .......................................(2分)
联立代入数据得
? .....................................(1分)
(2)整个过程中重力、静电力、摩擦力做功,
根据动能定理得
............(3分)?
代入数据得
.......(1分)
点评:本题难度中等,由问题可知本题考查的应该是功能关系的应用,此种类型题的分析,要先分析受力情况,再分析运动和做功情况,其中需要注意重力、电场力做功只与初末位置有关,而摩擦力做功与路径、路程有关
本题难度:一般
3、计算题 如图所示,间距为
、半径为
的内壁光滑的
圆弧固定轨道,右端通过导线接有阻值为
的电阻,圆弧轨道处于竖直向上的匀强磁场中,磁场的磁感应强度为
。质量为
、电阻为
、长度也为
的金属棒,从与圆心等高的
处由静止开始下滑,到达底端
时,对轨道的压力恰好等于金属棒的重力2倍,不计导轨和导线的电阻,空气阻力忽略不计,重力加速度为
。求:

(1)金属棒到达底端时,电阻
两端的电压
多大;
(2)金属棒从
处由静止开始下滑,到达底端
的过程中,通过电阻
的电量
;
(3)用外力将金属棒以恒定的速率
从轨道的低端
拉回与圆心等高的
处的过程中,电阻
产生的热量
。
参考答案:(1)
(2)
?(3)
本题解析:(1)金属棒滑到轨道最低点时,根据牛顿定律有
?①
根据题意
?②
金属棒切割磁感线产生的电动势
?③
金属棒产生的感应电流?
?④?
电阻
两端的电压
?⑤
由方程①②③④⑤式解得
?⑥
(2)金属棒从ab处由静止开始下滑,到达底端cd的过程中,通过电阻R的电量:
?⑦
根据欧姆定律有:
?⑧
根据法拉第电磁感应定律有:
?⑨
线框进入磁场过程中磁通量的变化量:
?⑩
由以上各式解得:
?⑾
(3)金属棒以恒定的速率
从轨道的低端
拉回与圆心等高的
处的过程中,金属棒垂直于磁场方向的速度
?⑿
金属棒切割产生的电动势
?⒀
电路中的电流
?⒁
金属棒运动的时间
?⒂
金属棒产生的热量
?⒃
解得?
?⒄
评分标准:本题16分。第一问共5分,其中①③④⑤⑥式每式各1分;第二问共计5分,其中⑦⑧⑨⑩⑾式每式各1分。第三问共计6分。其中⑿⒀⒁⒂⒃⒄式每式各1分。
本题难度:一般
4、选择题 如图所示,空间存在水平向左的匀强电场和垂直于纸向向里的匀强磁场,电场和磁场相互垂直。在电磁场区域中,有一个竖直放置的光滑绝缘圆环,环上套有一个带正电的小球。O点为圆环的圆心,a、b、c为圆环上的三个点,a点为最高点,c点为晟低点,Ob沿水平方向。已知小球所受电场力与重力大小相等,现将小球从环的顶端a点由静止释放,下列判断正确的是

[? ]
A.当小球运动的弧长为圆周长的1/4时,洛伦兹力最大
B.当小球运动到c点时,小球受到的支持力可能比重力小
C.小球从a点运动到b点,重力势能减小,电势能增大
D.小球从b点运动到c点,电势能增大,动能先增大后减小
参考答案:BD
本题解析:
本题难度:一般
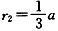
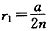
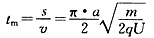
5、计算题 如图所示,在一底边长为2a,θ=300的等腰三角形区域内(D在底边中 点),有垂直纸面向外的匀强磁场,现有一质量为m,电量为q的带正电粒子从静止开始经过电势差为U的电场加速后,从D点垂直于EF进入磁场,不计重力与空气阻力的影响。
(1)若粒子恰好垂直于EC边射出磁场,求磁场的磁感应强度B为多少?
(2)改变磁感应强度的大小,粒子进入磁场偏转后能打到ED板,求粒子从进入磁场到第一次打到ED板的最长时间是多少?
(3)改变磁感应强度的大小,可以再延长粒子在磁场中的运动时间,求粒子在磁场中运动的极限时间。(不计粒子与ED板碰撞的作用时间,设粒子与ED板碰撞前后,电量保持不变并以相同的速率反弹)

参考答案:解:(1)依题意,粒子经电场加速射入磁场时的速度为v
由
,得
①
粒子在磁场中做匀速圆周运动其圆心在E点,如图所示,

半径r=a②
由洛伦兹力提供向心力,则有
③
由①②③得:
(2)粒子速率恒定,从进入磁场到第一次打到ED板的圆周轨迹与EC边相切时,路程最长,
运动时间最长,如图,

设圆周半径为r2,由图中几何关系知:

得:
④
最长时间:
⑤
由①④⑤得
。
(3)解法一:设粒子运动圆周半径为r,
当r越小,最后一次打到ED板的点越靠近E端点,在磁场中圆周运动累积路程越大,时间越长。
当r为无穷小,经过n个半圆运动,最后一次打到E点。有:
⑥
圆周运动周期:
⑦
最长的极限时间:
⑧
由⑥⑦⑧得

?解法二:当r为无穷小,经过无穷多个半圆运动,最后一次打到E点。累积运动的路程s最长,
等于半径为a/2的半圆弧长。
s=ns1,s1=πr1,
,
时间的极限值
。
本题解析:
本题难度:困难