1、计算题  (20分)某学习小组为了研究影响带电粒子在磁场中偏转的因素,制作了一个自动控制装置,如图所示,滑片P可在R2上滑动,在以O为圆心,半径为R=10 cm的圆形区域内,有一个方向垂直纸面向外的水平匀强磁场,磁感应强度大小为B=0.10T。竖直平行放置的两金属板A、K相距为d,连接在电路中,电源电动势E=91V,内阻r=1.0Ω,定值电阻R1=10Ω,滑动变阻器R2的最大阻值为80Ω,S1、S2为A、K板上的两个小孔,且S1、S2跟O在竖直极板的同一直线上,OS2=2R,另有一水平放置的足够长的荧光屏D,O点跟荧光屏D点之间的距离为H。比荷为2.0×105C/kg的离子流由S1进入电场后,通过S2向磁场中心射去,通过磁场后落到荧光屏D上。离子进入电场的初速度、重力、离子之间的作用力均可忽略不计。问:
cm的圆形区域内,有一个方向垂直纸面向外的水平匀强磁场,磁感应强度大小为B=0.10T。竖直平行放置的两金属板A、K相距为d,连接在电路中,电源电动势E=91V,内阻r=1.0Ω,定值电阻R1=10Ω,滑动变阻器R2的最大阻值为80Ω,S1、S2为A、K板上的两个小孔,且S1、S2跟O在竖直极板的同一直线上,OS2=2R,另有一水平放置的足够长的荧光屏D,O点跟荧光屏D点之间的距离为H。比荷为2.0×105C/kg的离子流由S1进入电场后,通过S2向磁场中心射去,通过磁场后落到荧光屏D上。离子进入电场的初速度、重力、离子之间的作用力均可忽略不计。问:

(1)判断离子的电性,并分段描述离子自S1到荧光屏D的运动情况?
(2)如果离子恰好垂直打在荧光屏上的N点,电压表的示数多大?
(3)电压表的最小示数是多少?要使离子打在荧光屏N点的右侧,可以采取哪些方法?
 
	参考答案:(1)见解析;(2)30V;(3)10V
	本题解析:(1)离子带正电;离子在两金属板间做匀加速直线运动;离开电场进入磁场前做匀速直线运动;
在磁场中做匀速圆周运动;离开磁场后做匀速直线运动,直到打在荧光屏上。
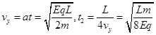
(2)离子在磁场中偏转90°,∴轨迹半径r=R=10 cm
cm
由 ;
; ;?解得U=30V
;?解得U=30V
(3)电压表最小电压 ;?解得Umin=10V。
;?解得Umin=10V。
要使离子打在荧光屏上N点的右侧,离子在磁场中偏转轨迹半径变大,由 ,可以提高离子速度或减小磁场的磁感应强度。
,可以提高离子速度或减小磁场的磁感应强度。
方法一,向右移动滑动变阻器滑片,增大平行板间电压
方法二,提高电源电动势,增大平行板间电压
方法三,减小磁场的磁感应强度
	本题难度:一般
	        2、选择题  如图所示,平行金属板A、B间加速电压为U1,C、D间的偏转电压为U2,M为荧光屏。今有电子(不计重力)从A板由静止开始经加速和偏转后打在与荧光屏中心点O相距为Y的P点,电子从A板运动到荧光屏的时间为t。下列判断中正确的是

A.若只增大U1,则Y增大,t增大
B.若只增大U1,则Y减小,t减小
C.若只减小U2,则Y增大,t增大
D.若只减小U2,则Y减小,t减小
 
	参考答案:B
	本题解析:粒子在加速电场中只有电场力做功,根据动能定理有:eU1= mv02
mv02
电子在偏转电场中做类平抛运动,离开电场的时间:
加速度:
竖直方向的位移:
由几何关系知: ,故y与Y成正比,若只增大U1,则Y减小;电子从A板运动到荧光屏的时间由电子出离电场的速度决定,而
,故y与Y成正比,若只增大U1,则Y减小;电子从A板运动到荧光屏的时间由电子出离电场的速度决定,而 ,故若只增大U1,则v0减小,则t减小,选项B正确。
,故若只增大U1,则v0减小,则t减小,选项B正确。
考点:带电粒子在电场中的加速极偏转.
	本题难度:一般
	        3、计算题  如图所示,abcd是一个正方形盒子.cd边的中点有一个小孔e.盒子中有沿ad方向的匀强电场,一个质量为m带电粒子从a处的小孔沿ab方向以初速度v0射入盒内,并恰好从e处的小孔射出。求:

⑴该带电粒子从e孔射出时的速度大小。
⑵该过程中电场力对该带电粒子做的功。
 
	参考答案:⑴ ?(2)
?(2)
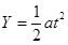
	本题解析:⑴把ve正交分解,其水平分速度为v0和竖直分速度为vy。
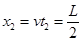
水平匀速直线运动: ?(1)
?(1) 
竖直初速为零的匀加速: ?(2)
?(2) 
由(1)(2)得: ?
?
所以有:ve= =
= ?(3)
?(3) 
⑵a到e过程,根据动能定理得:
W电= =
=
点评:本题考察了带电粒子在电场中的类平抛运动知识,通过平抛的处理方法处理类平抛。
	本题难度:一般
	        4、计算题  如图所示为研究电子枪中电子在电场中运动的简化模型示意图。在Oxy平面的ABCD区域内,存在两个场强大小均为E的匀强电场I和II,已知A、D两点的坐标分别为(L,0)和(-2L,0),两电场的边界均是边长为L的正方形(不计电子所受重力),现在该区域AB边的中点处由静止释放一电子,已知电子质量为m,带电量为e,试求:
 ?
?
(1)电子离开ABCD区域的位置坐标;
(2)电子从电场II出来后经过多少时间到达x轴;
(3)电子到达x轴时的位置坐标。
 
	参考答案:(1)(-2L, )?(2)
)?(2) ?(3)(-2.5L,0)
?(3)(-2.5L,0)
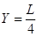
	本题解析:(1)


 ,解得
,解得 ,故电子离开的坐标为(-2L,
,故电子离开的坐标为(-2L, )
)
(2)
(3) ,坐标为(-2.5L,0).
,坐标为(-2.5L,0).
	本题难度:一般
	        5、选择题  在匀强电场中,同一条电场线上有A、B两点,有两个带电粒子先后由静止从A点出发并通过B点,若两粒子的质量之比为2:1,电荷量之比为4:1,忽略它们所受重力,则它们由A点运动到B点所用的时间之比为
[? ]
A.
B.
C.1:2 
D.2:1 
 
	参考答案:A
	本题解析:
	本题难度:一般