1、选择题 如图所示,一价氢离子(
H)和二价氦离子(
He)的混合体,经同一加速电场后,垂直射入同一偏转电场中,偏转后打在同一荧光屏上,则它们( )

A.同时到达屏上同一点
B.先后到达屏上同一点
C.同时到达屏上不同点
D.先后到达屏上不同点
参考答案:B
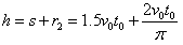
本题解析:设加速电场的宽度为d1,离子在加速电场中运动时间t1=
,经加速电场后速度v0=
;设偏转电场的极板长为L,极板间距离为d2,离子在偏转电场中运动时间t2=
=
,由于两离子的比荷不相同,可知两离子通过电场的时间不相同,它们先后到达屏上.经偏转电场后,离子的偏移量y=
·
·
=
,可知两离子到达屏上同一点,故选项B正确.
本题难度:一般
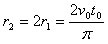
2、计算题 如图所示,在xoy平面内存在均匀、大小随时间周期性变化的磁场和电场,变化规律分别如图乙、丙所示(规定垂直纸面向里为磁感应强度的正方向、沿y轴正方向电场强度为正)。在t=0时刻由原点O发射初速度大小为v0,方向沿y轴正方向的带负电粒子(不计重力)。其中已知v0、t0、B0、E0,且
,粒子的比荷
,x轴上有一点A,坐标为(
)。
(1)求
时带电粒子的位置坐标;
(2)粒子运动过程中偏离x轴的最大距离;
(3)粒子经多长时间经过A点。

参考答案:解:(1)粒子运动的周期
①
则在
内转过的圆心角
?②

坐标为(
)③
(2)粒子运动轨迹如图所示,经电场加速运动后的速度为v

?④
运动的位移
?⑤
在2t0-3t0粒子做匀速圆周运动,半径
⑥
故粒子偏离x轴的最大距离
⑦
(3)每个4t0内粒子在x轴正向移动距离
?⑧
经过A点的时间
⑨
本题解析:
本题难度:困难
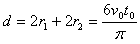
3、计算题 如图a,一对平行光滑轨道放置在水平面上,两轨道间距L="0.20m" ,电阻R=1.0Ω;有一电阻r=0.5Ω的金属棒静止地放在轨道上,与两轨道垂直,轨道的电阻忽略不计,整个装置处于磁感应强度B=0.50T的匀强磁场中,磁场方向垂直轨道面向下。
(1)现用一恒力F=0.2N沿轨道方向拉金属棒ab,使之由静止沿导轨向右做直线运动。则金属棒ab达到的稳定速度v1为多大?
(2)若金属棒质量m=0.1kg在恒力F=0.2N作用下由静止沿导轨运动距离为s=4m时获得速度v2=2m/s,此过程电阻R上产生的焦耳热QR为多大?
(3)若金属棒质量未知,现用一外力F沿轨道方向拉棒,使之做匀加速直线运动,测得力F与时间t 的关系如图b所示,求金属棒的质量m和加速度a。

参考答案:(1)
(2)
(3)m=1/15kg?,? a=15m/s2?.
本题解析:(1)当F=F安时,金属棒达到稳定,
,得:
?
(2)由动能定律可知:
,电场力做的功在数值上等于回路产生的热,
,R上产生的焦耳热:
(3)导体杆在轨道上做匀加速直线运动,用表示其速度,t表示时间,则有:v=at,杆切割磁力线,将产生感应电动热:
,在杆、轨道和电阻的闭合回路中产生电流:
,?
杆受到的安培力的:
,?根据牛顿第二定律,有:F-f="m" a?
联立以上各式,得:
,?
由图线上取两点代入上式,可解得:m=1/15kg?,? a=15m/s2
本题难度:一般
4、选择题 医生做某些特殊手术时,利用电磁血流计来监测通过动脉的血流速度。电磁血流汁由一对电极a和b以及磁极N和S构成,磁极间的磁场是均匀的。使用时,两电极a、b均与血管壁接触,两触点的连线、磁场方向和血流速度方向两两垂直,如图所示。由于血液中的正负离子随血流一起在磁场中运动,电极a、b之间会有微小电势差,在达到平衡时,血管内部的电场可看作是匀强电场,血液中的离子所受的电场力和磁场力的合力为零。在某次监测中,两触点的距离为3.0 mm,血管壁的厚度可忽略,两触点间的电势差为160 μV,磁感应强度的大小为0.040 T。则血流速度的近似值和电极a、b的正负为

A.1.3 m/s,a正、b负
B.2.7 m/s,a正、b负
C.1.3 m/s,a负、b正
D.2.7 m/s.a负、b正
参考答案:A
本题解析:
本题难度:一般
5、选择题 如图所示,某种带电粒子由静止开始经电压为U1的电场加速后,射入水平放置、电势差为U2的两块导体板间的匀强电场中,带电粒子沿平行于两板的方向从两板正中间射入,穿过两板后又垂直于磁场方向射入边界线竖直的匀强磁场中,则粒子射入磁场和射出磁场的M、N两点间的距离d随着U1和U2的变化情况为(不计重力,不考虑边缘效应)

A.d随U1变化,d与U2无关
B.d与U1无关, d随U2变化
C.d随U1、U2变化
D.d与U1无关,d与U2无关