1、计算题 (18分)如图所示,在
平面内的第一象限内存在沿
轴正方向的匀强电场,在第四象限存在有界的磁场,磁感应强度
,有一质量为
,电量为
的电子以
的速度从
轴的
点(0,
cm)沿
轴正方向射入第一象限,偏转后从
轴的
点射入第四象限,方向与
轴成
角,在磁场中偏转后又回到
点,方向与
轴也成
角;不计电子重力.求:

(1)OQ之间的距离及电子通过Q点的速度大小.
(2)若在第四象限内的磁场的边界为直线边界,即在虚线
的下方有磁场,如图中所示,求
的坐标.
(3)若在第四象限内的磁场为圆形边界的磁场,圆形边界的磁场的圆心坐标的范围.
参考答案:(1)
,
(2)
?(3)
,
本题解析:
试题分析:(1)电子在电场做类平抛运动,从P到Q过程中,
?①
?②?
?③?
?④
解得:
?⑤
(2)电子在磁场中做匀速圆周运动,故有:
?⑥
由几何关系可知,电子回到Q点有:
?⑦
解得:
?⑧
(3)由于在磁场中偏转后又回到Q点,方向与X轴也成
角.其运动轨迹如图:

由几何关系可知,圆形磁场的圆心在Q点的正下方,即:
圆形磁场应与电子轨迹有公共弦,同时只要磁场半径
大于
即可,故磁场圆心y轴的最小坐标为:

圆形磁场在第四象限,磁场半径应小于5cm,由几何关系可知,磁场圆心y轴的最大坐标为:

即圆形磁场的圆心的坐标应满足:
,
本题难度:一般
2、计算题 如图所示,在坐标系xOy第二象限内有一圆形匀强磁场区域(图中未画出),磁场方向垂直xOy平面。在x轴上有坐标(-2l0,0)的P点,三个电子a、b、c以相等大小的速度沿不同方向从P点同时射入磁场区,其中电子b射入方向为+y方向,a、c在P点速度与b速度方向夹角都是θ=
。电子经过磁场偏转后都垂直于y轴进入第一象限,电子b通过y轴Q点的坐标为y=l0,a、c到达y轴时间差是t0。在第一象限内有场强大小为E,沿x轴正方向的匀强电场。已知电子质量为m、电荷量为e,不计重力。求:
(1)电子在磁场中运动轨道半径和磁场的磁感应强度B。
(2)电子在电场中运动离y轴的最远距离x。
(3)三个电子离开电场后再次经过某一点,求该点的坐标和先后到达的时间差Δt。

参考答案:解:(1)三电子轨迹如图。

由图可知,R=l0
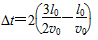
设a、c到达y轴时间差为t0,其中它们离开磁场后到达y轴时间是相等的,在磁场区中a转过30°圆心角,时间
,c转过150°圆心角,时间
,

(2)电子在磁场中运动

在电场中
得
。
(3)电子离开电场再次返回磁场轨迹如图,

坐标x=-2l0,y=2l0,
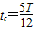
由运动的对称性可知, a、c同时到达,与b比较磁场中运动时间都是半个周期,
电场中运动时间也都相等,所以时间差为在非场区
,
,
b先到达。
本题解析:
本题难度:困难
3、选择题 不计重力的负粒子能够在如图所示的正交匀强电场和匀强磁场中匀速直线穿过.设产生匀强电场的两极板间电压为U,距离为d,匀强磁场的磁感应强度为B,粒子带电荷量为q,进入速度为v,以下说法正确的是( )
A.若同时增大U和B,其他条件不变,则粒子一定能够直线穿过
B.若同时减小d和增大v,其他条件不变,则粒子可能直线穿过
C.若粒子向下偏,能够飞出极板间,则粒子动能一定减小
D.若粒子向下偏,能够飞出极板间,则粒子的动能有可能不变