1、计算题 一初速度为零的带电粒子从A板处经电压为U=4.0×103V的匀强电场加速后,到B板处获得5.0×103m/s的速度,粒子通过加速电场的时间t=1.0×10-4s,不计重力作用,

(1)带电粒子的比荷为多大?
(2)匀强电场的场强为多大?
(3)粒子通过电场过程中的位移为多
参考答案:(1)3.125×103C/㎏?(2)1.6×104V/m?(3)0.25m
本题解析:(1)由动能定理得:
解得:
=3.125×103C/㎏
(2)粒子匀加速运动:
由牛顿第二定律得:
联立解得:E=1.6×104V/m
(3)由动能定理得:
解得:d=0.25m
本题难度:一般
2、选择题 一平行板电容器的两个极板水平放置,两极板间有一带电量不变的小油滴,油滴在极板间运动时所受空气阻力的大小与其速率成正比。若两极板间电压为零,经一段时间后,油滴以速率v匀速下降;若两极板间的电压为U,经一段时间后,油滴以速率v匀速上升。若两极板间电压为-U,油滴做匀速运动时速度的大小、方向将是
[? ]
A.2v、向下
B.2v、向上
C.3v、向下
D.3v、向上
参考答案:C
本题解析:
本题难度:一般
3、简答题
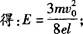
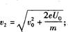
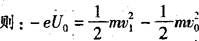
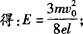
(1)若输入腔中的电场保持不变,电子以一定的初速度v0从A板上的小孔沿垂直于A板的方向进入输入腔,而由B板射出输入腔时速度减为v0/2,求输入腔中的电场强度E的大小
(2)现将B板接地(图中未画出),在输入腔的两极板间加上如图所示周期为T的高频方波交变电压,在t=0时A板电势为U0,与此同时电子以速度v0连续从A板上的小孔沿垂直A板的方向射人输入腔中,并能从B板上的小孔射出,射向输出腔的C孔.若在nT~(n+1)T的时间内(n=0,l,2,3…),前半周期经B板射出的电子速度为v1,后半周期经B板射出的电子速度为v2,求v1与v2的比值。
?
参考答案:(1)
(2)
本题解析:(1)电场对电子做负功,由动能定理
? 4分?
?2分
(2)在nT一(n+1)T的时间内,剪半周期电子减速通过输入腔,射出的速度为v1
? 4分
? 1分
后半周期电子加速通过输入腔,射出的速度为v2,
? 4分
解得
? 1分?
?3分
本题难度:简单
4、选择题 真空中水平放置的两金属板相距为d,两板间电压是可以调节的,一个质量为m、电荷量为+q的粒子,从负极板中央的小孔以速度v0垂直极板射入电场,当板间电压为U时,粒子经d/4的距离就要返回,若使粒子经d/2的距离才返回。可采用的方法是( ? )
A.使v0增大1倍
B.使板间电压U减半
C.使v0和U同时减半
D.初速度增为2v0,同时使板间距离增加d/2
参考答案:B
本题解析:
本题难度:一般
5、简答题 某些火箭发动机产生的推力F等于火箭在单位时间内喷出的推进剂的质量J与推进剂速度V的乘积.即F=JV.质子火箭发动机喷出的推进剂是质子,这种发动机用于外层空间产生小推力来纠正卫星轨道.设一台质子发动机喷出的质子流的电流I=1.0A,用于加速质子的电压U=5.0×104V,试求该发动机的推力F.已知质子的质量是m=1.6×10-27kg,电量e=1.6×10-19C.(保留二位有效数字)
参考答案:3.2×10-2N
本题解析:
设质子离开加速电场的速度为v,则eU=
mv2 v=
因为单位时间内喷出质子的个数N=
所以J=Nm=
m
由已知F=JV=
F=3.2×10-2N
本题难度:简单
Life is half spent before we know what it is. 我们认识到人生的意义时,已度过了半辈子.