| 高考省级导航 | |
|
|
|
高考物理答题模板《牛顿第二定律及应用》高频考点预测(2020年最新版)(二)
![]() 参考答案:对物体受力分析并合成如图: 本题解析: 本题难度:一般 2、选择题 如图甲所示,在倾角为θ的光滑斜面上,有一个质量为m的物体在沿斜面方向的力F的作用下由静止开始运动,物体的机械能E随位移x的变化关系如图乙所示.其中0~x 91EXAm.org1过程的图线是曲线,x1~x2过程的图线为平行于x轴的直线,则下列说法中正确的是( ) |

参考答案:A、在0~x1过程中物体机械能在减小,知拉力在做负功,拉力方向向上,所以位移方向向下,故物体在沿斜面向下运动,故A正确;
B、在0~x1过程中图线的斜率逐渐减小到零,知物体的拉力逐渐减小到零.根据a=mgsinθ-Fm,可知,加速度逐渐增大,故B错误;
C、在0~x1过程中,加速度的方向与速度方向相同,都沿斜面向下,所以物体做加速运动,故C错误;
D、在x1~x2过程中,机械能守恒,拉力F=0,此时a=mgsinθm=gsinθ,故D正确.
故选AD
本题解析:
本题难度:一般
3、选择题 一根细绳与一个轻弹簧,上端分别固定在A、B两点,下端C点共同拉住一个小钢球,如图所示,AC、BC与竖直方向的夹角均为θ,则( )
A.烧断细绳的瞬间,小球的加速度a=
| g 2cosθ |
| g 2cosθ |

参考答案:A、B、对球受力分析,受重力、弹簧的拉力F和细线的拉力T,如图所示:
根据平衡条件,有:
F=T=mg2cosθ;
断开细线瞬间,弹簧弹力和重力不变,故合力变为mg2cosθ,沿着细线的反方向;
故加速度为g2cosθ,沿着细线的反方向,故A正确,B错误;
C、D、弹簧在C处与小球断开的瞬间,小球受重力和细线的拉力,变为单摆,合力等于重力的切向分力,根据牛顿第二定律,有:mgsinθ=ma,解得a=gsinθ;故C错误,D正确;
故选AD.
本题解析:
本题难度:简单
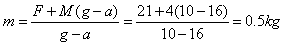
4、计算题 如图所示,长L=75cm的静止直筒中有一不计大小的小球,筒与球的总质量为4千克,现对筒施加一竖直向下、大小为21牛的恒力,使筒竖直向下运动,经t=0.5秒时间,小球恰好跃出筒口。求:小球的质量。(取g=10m/s2) 
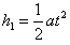
参考答案:解:设筒与小球的总质量为M,小球的质量为m,筒在重力及恒力的共同作用下竖直向下做初速为零的匀加速运动,设加速度为a;小球做自由落体运动。设在时间t内,筒与小球的位移分别为h1、h2(球可视为质点),如图所示:
由运动学公式得:
,
又有:L=h1-h2
代入数据解得:a=16m/s2
又因为筒受到重力(M-m)g和向下作用力F,据牛顿第二定律:F+(M-m)g=(M-m)a
得:
本题解析:
本题难度:困难
5、选择题 如图所示,一物块以初速度v0滑上正沿逆时针转动的水平传送带,传送带上A、B两点间的距离L=9m.已知传送带的速度v=2m/s,物块与传送带间的动摩擦因数μ=0.2,重力加速度g取10m/s2.下列说法中正确的是( )
A.要使物块被传送到B点,初速度应为v0=6m/s
B.要使物块被传送到B点,初速度应为v0=2m/s
C.当物块的初速度v0=4m/s时,物块将以2m/s的速度离开传送带
D.当物块的初速度v0=2m/s时,物块在传送带上先做减速运动,再做加速运动,而后匀速运动
参考答案:A、对物块,由牛顿第二定律得:μmg=ma,解得:a=2m/s2,物块在传送带上做匀减速运动,当物体到达B点时的速度为零时,物块恰好到达B点,由匀变速直线运动的速度位移公式可知:v2-v02=2ax,v0=
本题解析:
本题难度:一般
| 【大 中 小】【打印】 【繁体】 【关闭】 【返回顶部】 | |
| 下一篇:高考物理知识点总结《核反应方程.. | |