微信搜索关注"91考试网"公众号,领30元,获取公务员、事业编、教师等考试资料40G!
1、计算题 下图是某种静电分选器的原理示意图。两个竖直放置的平行金属板带有等量异号电荷,形成匀强电场。分选器漏斗的出口与两板上端处于同一高度,到两板距离相等。混合在一起的a、b两种颗粒从漏斗出口下落时,a种颗粒带上正电,b种颗粒带上负电。经分选电场后,a、b两种颗粒分别落到水平传送带A、B上。已知两板间距d=0.1m,板的度l=0.5m,电场仅局限在平行板之间;各颗粒所带电量大小与其质量之比均为1×10-5 C/kg。设颗粒进入电场时的初速度为零,分选过程中颗粒大小及颗粒间的相互作用力不计。要求两种颗粒离开电场区域时,不接触到极板但有最大偏转量。重力加速度g取10m/s2。
(1)左右两板各带何种电荷?两极板间的电压多大?
(2)若两带电平行板的下端距传送带A、B的高度H=0.3m,颗粒落至传送带时的速度大小是多少?
(3)设颗粒每次与传带碰撞反弹时,沿竖直方向的速度大小为碰撞前竖直方向速度大小的一半。写出颗粒第n次碰撞反弹高度的表达式。并求出经过多少次碰撞,颗粒反弹的高度小于0.01。

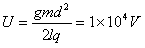
参考答案:解:(1)左板带负电荷,右板带正电荷
依题意,颗粒在平行板间的竖直方向上满足l=
gt2
在水平方向上满足
两式联立得
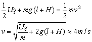
(2)根据动能定理,颗粒落到水平传送带上满足
?
(3)在竖直方向颗粒作自由落体运动,它第一次落到水平传送带上沿竖直方向的速度
反弹高度
根据题设条件,颗粒第n次反弹后上升的高度
当n=4时,hn<0.01m
本题解析:
本题难度:困难
2、选择题 保护知识产权,抵制盗版是我们每个公民的责任与义务,盗版书籍影响我们的学习效率甚至会给我们的学习带来隐患.小华有一次不小心购买了盗版的物理参考书,做练习时,他发现有一个关键数字看不清,拿来问老师,如果你是老师,你认为可能是下列几个数字中的哪一个??(?)
A.6.4×10-19C;?B.6.2×10-19C;?
C.6.6×10-19C;?D.6.8×10-19C。
参考答案:A
本题解析:电子电荷量的大小是最小的,人们把最小电荷叫做元电荷,任何带电体所带电荷都是e的整数倍,因此该带电量为电子电量e=1.6×10-19c的整数倍,将四个选项中的电量除以电子电量得数为整数倍的便是可能正确的数字.
本题难度:简单
3、选择题 带电微粒所带的电荷量的值不可能的是下列的( )
A.-1.6×10-19C
B.-6.4×10-19C
C.2.4×10-19C
D.4×10-17C
参考答案:最小的电荷量是1.6×10-19C,我们把这个最小的电荷量叫做元电荷,任何物体的带电量都是元电荷或是元电荷的整数倍,
A、由于1.6×10-19C是1.6×10-19C的整数倍,故A错误.
B、-6.4×10-19C是1.6×10-19C的4倍,故B错误;
C、2.4×10-19C是1.6×10-19C的1.5倍,不是整数倍.故C正确;
D、4×10-17C是1.6×10-19C的250倍,故D错误;
故选:C.
本题解析:
本题难度:一般
4、计算题 平行电金属板的两板间电压为100V。有一电子以初速度υ0=2×107m/s沿两平行板的中线射入电场,已知金属板长4cm,相距d=1cm。(电子质量为m=9.1×10-31 kg,e=1.6×10-19 C,不计重力作用)求:
(1)电子的偏移量y大小?
(2)电子的偏转角的正切值是多少?

参考答案:解:(1)E=U/d
F=Eq
F=ma
L=υ0t
Y=at2/2
Y=0.0035m
(2)tanθ=0.175
本题解析:
本题难度:一般
5、填空题 在真空中带电粒子P1和P2先后以相同的速度从O点射入两平行板间的匀强电场(如图所示),它们的初速度垂直于电场强度方向,偏转之后分别打在下面金属板的B、C两点,已知AB=BC,A点在O的正下方,且P1的带电量是P2的3倍,与粒子受到的电场力相比,其重力可略去不计,则P1和P2在空中飞行的时间之比t1:t2=___________,质量之比m1:m2=___________。

参考答案:1:2,3:4
本题解析:
本题难度:一般