微信搜索关注"91考试网"公众号,领30元,获取公务员、事业编、教师等考试资料40G!
1、选择题 如图所示,有abcd四个离子,它们带等量的同种电荷,质量不等。有ma=mb<mc=md,以不等的速度va<vb=vc<vd进入速度选择器后有两种离子从速度选择器中射出,进入B2磁场,由此可判定

[? ]
A.射向P1的是a离子?
B.射向P2的是b离子?
C.射到A1的是c离子?
D.射到A2的是d离子
参考答案:A
本题解析:
本题难度:一般
2、简答题 美国科学家密立根通过油滴实验首次精确地测出了电子的电荷量.油滴实验的原理如图所示,两块水平放置的平行金属板与电源相连,上下板分别带正、负电荷.油滴从喷雾器喷出后,由于摩擦而带负电,经上板中央小孔落到两板间的匀强电场中,通过显微镜可以观察到它运动的情况.两金属板间的距离为d.(忽略油滴之间的相互作用力和空气对油滴的浮力及阻力)
(1)调节两金属板间的电压,当U=U0时,观察到某个质量为m1的油滴恰好匀速竖直下落,求该油滴所带的电荷量q1;
(2)若油滴进入电场时的初速度可以忽略,当U=U1时,观察到某个质量为m2的油滴进入电场后匀加速竖直下落,经过时间t运动到下极板,求此油滴所带的电荷量q2.

参考答案:(1)油滴匀速下落过程中受到电场力和重力平衡,此时油滴所带的电量为负电荷.由二力平衡关系可得:
q1U0d=m1g…①
由①式可得:
q1=m1gdU0…②
(2)油滴加速下落,由(1)可知该油滴带负电,此时它受到的电场力向上,设此时的加速度大小为a1,由牛顿第二定律可得:
m2g-q2U1d=m2a1 …③
由运动学公式可得:
d=12a1t2 …④
由③④二式可得:
q2=m2dU1(g-2dt2)…⑤
答:(1)该油滴所带电荷量q为m1gdU0;
(2)此油滴所带电荷量为m2dU1(g-2dt2).
本题解析:
本题难度:一般
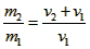
3、选择题 如图所示,在某空间同时存在着相互正交的匀强电场E和匀强磁场B,电场方向竖直向下,有质量分别为m1、m2的a、b两带负电的微粒,a的电量为q1,恰能静止于场中空间的c点,b的电量为q2,在过c点的竖直平面内做半径为r的匀速圆周运动,在c点a、b相碰并粘在一起后做匀速圆周运动,则
[? ]

A.a、b粘在一起后在竖直平面内以速率
做匀速圆周运动
B.a、b粘在一起后仍在竖直平面内做半径为r的匀速圆周运动
C.a、b粘在一起后在竖直平面内做半径大于r的匀速圆周运动
D.a、b粘在一起后在竖直平面内做半径为
的匀速圆周运动
参考答案:D
本题解析:
本题难度:一般
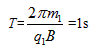
4、简答题 如图(a)所示,M、N为竖直放置,彼此平行的两块平板,板间距离为d。两板中央各有一个小孔O、O"正对,在两板间有垂直于纸面方向的磁场,磁感强度随时间的变化如图(b)。有一群正离子从t=0时垂直于M板从小孔O射入磁场,已知离子质量为m,带电量为q ,离子在磁场中作匀速圆周运动的周期与磁感强度变化的周期都为
。不考虑由于磁场变化而产生的电场的影响,不计离子所受重力。求: (1)磁感强度
的大小。

(2)要使离子从O"垂直于N板射出磁场,离子射入磁场时的速度应多大?
?
参考答案:(1)?
?(2)
本题解析:
以离子为研究对象

本题难度:简单
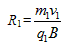
5、计算题 如图所示,在足够大的空间范围内,同时存在着竖直向上的匀强电场和垂直纸面向里的水平匀强磁场,磁感应强度B=1.57T。小球1带正电,其电量与质量之比q1/m1=4C/kg,所受重力与电场力的大小相等;小球2不带电,静止放置于固定和水平悬空支架上。小球1向右以v0=23.59m/s的水平速度与小球2正碰,碰后经0.75s再次相碰。设碰撞前后两小球带电情况不发生改变,且始终保持在同一竖直平面内。(g=9.8m/s2)问:
(1)电场强度E的大小是多少?
(2)两小球的质量之比是多少?

参考答案:解:(1)小球1所受的重力与电场力始终平衡m1g=q1E① ,E=2.45N/C ②
(2)相碰后小球1做匀速圆周运动,由牛顿第二定律得:
③
半径为
④ ,
周期为
⑤
∵两球运动时间t=0.75s=
T
∴小球1只能逆时针经
周期时与小球2再次相碰
第一次相碰后小球2作平抛运动h=R1=
⑥,
L=R1=v2t?⑦
两小球第一次碰撞前后动量守恒,以水平向右为正方向m1v0=m1v1+m2v2?⑧
由⑥、⑦式得v2=3.75m/s
由④式得 v1=17.66m/s
∴两小球质量之比:
=11⑨
本题解析:
本题难度:一般