微信搜索关注"91考试网"公众号,领30元,获取公务员、事业编、教师等考试资料40G!
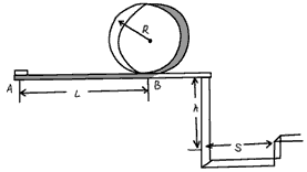
1、计算题 某校物理兴趣小组决定举行遥控赛车比赛。比赛路径如图所示,赛车从起点A出发,沿水平直线轨道运动L后,由B点进入半径为R的光滑竖直圆轨道,离开竖直圆轨道后继续在光滑平直轨道上运动到C点,并能越过壕沟。已知赛车质量m=0.1kg,通电后以额定功率P=1.5w工作,进入竖直轨道前受到阻力恒为0.3N,随后在运动中受到的阻力均可不记。图中L=10.00m,R=0.32m,h=1.25m,S=1.50m。问:要使赛车完成比赛,电动机至少工作多长时间?(取g=10m/s2)

参考答案:解:设赛车越过壕沟需要的最小速度为v1,由平抛运动的规律


解得
设赛车恰好越过圆轨道,对应圆轨道最高点的速度为v2,最低点的速度为v3,由牛顿第二定律及机械能守恒定律


解得
m/s
通过分析比较,赛车要完成比赛,在进入圆轨道前的速度最小应该是
m/s
设电动机工作时间至少为t,根据功能原理

由此可得t=2.53s
本题解析:
本题难度:困难
2、选择题 一带电小球在空中由A点运动到B点的过程中,受重力、电场力和空气阻力三个力作用。若重力势能增加3J,机械能增加0.5J,电场力对小球做功1J,则小球
A.重力做功为3J
B.电势能增加1J
C.克服空气阻力做功0.5J
D.动能减少2.5J
参考答案:CD
本题解析:重力做功等于重力势能的减小量,重力势能增加3J,故重力做功-3J,故A错误。电场力做功等于电势能的减小量,电场力做功1J,故电势能减小1J,故B错误。 除重力外的各个力做的总功等于机械能的增加量,除重力外,只有电场力做功做功1J,而机械能增加0.5J、所以克服空气阻力做功0.5J,故C正确。合力做功等于动能的增加量,合力做功等于各个分力做的功,总功为-2.5J,故动能减小2.5J,故D正确。故选CD.
本题难度:一般
3、计算题 如图所示,静止放在水平桌面上的纸带,其上有一质量为m=0.1 kg的铁块,它与纸带右端的距离为L=0.5 m,铁块与纸带间、纸带与桌面间动摩擦因数均为μ=0.1。现用力F水平向左将纸带从铁块下抽出,当纸带全部抽出时铁块恰好到达桌面边缘,铁块抛出后落地点离抛出点的水平距离为s=0.8 m.已知g=10 m/s2,桌面高度为H=0.8 m,不计纸带质量,不计铁块大小,铁块不滚动.求:
(1)铁块抛出时速度大小;
(2)纸带从铁块下抽出所用时间t1;
(3)纸带抽出过程产生的内能E。

参考答案:解:(1)水平方向:s=vt ①
竖直方向:H=
gt2 ②
由①②联立解得:v=2 m/s
(2)设铁块的加速度为a1,由牛顿第二定律,得μ
mg=ma1 ③
纸带抽出时,铁块的速度v=a1t1 ④
③④联立解得t1=2 s
(3)铁块的位移s1=
a1t12 ⑤
设纸带的位移为s2;由题意知,s2-s1=L ⑥
由功能关系可得E=μmgs2+μmg(s2-s1) ⑦
由③④⑤⑥⑦联立解得E=0.3 J
本题解析:
本题难度:一般
4、选择题 如图所示,表面光滑的曲面体上方有一固定的带电量为+Q 的点电荷,现有一带电量为+q的金属小球(可视为质点),在A点以初速度v0沿曲面射入,曲面体为绝缘体,小球与曲面相互绝缘,则

A.小球从A点运动到B点过程中,速度逐渐减小
B.小球从A点到C点过程中,重力势能的增加量等于其动能的减少量
C.小球在C点时受到+Q的库仑力最大,所以对曲面的压力最大
D.小球在曲面上运动过程中,机械能始终守恒
参考答案:A
本题解析:绝缘体不会发生静电感应现象,所以A到B过程中电场力做正功,动能增大,A对;由能量守恒定律可知从B到C的过程中重力势能、动能、电势能之和保持不变,B错;距离点电荷越近电场力越大,在C点为圆周运动的最高点,支持力最小,C错;小球在曲面上运动过程中,电场力做功,小球机械能不守恒,D错;
本题难度:简单
5、选择题 某一物体悬挂在细绳下端,由静止开始沿竖直方向运动,运动过程中物体的机械能与物体位移关系的图像如图所示,其中0→s1过程的图线为曲线,s1→s2过程的图线为直线。根据该图像,下列判断正确的是

[? ]
A.0→s1过程中物体所受合力一定是变力,且不断减小
B.s1→s2过程中物体可能在做变加速直线运动
C.s1→s2过程中物体可能在做匀速直线运动
D.0→s2过程中物体的动能可能在不断增大
参考答案:CD
本题解析:
本题难度:一般
A good marksman may miss. 好射手也有失手的时候.