微信搜索关注"91考试网"公众号,领30元,获取公务员、事业编、教师等考试资料40G!
1、填空题 地球和月球中心距离是3.84×108m,月球绕地球一周所用时间大约为27天,则地球的质量为________________。
参考答案:4.6×1024kg
本题解析:
本题难度:简单
2、计算题 月球半径是地球半径的
,在地球和月球表面分别用长度相同的细线拴住一个小球,使之在竖直平面内做圆周运动,已知小球通过圆周的最高点的临界速度,在地球上是v1,在月球上是v2,求地球与月球的平均密度之比.
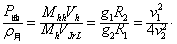
参考答案:解:
地球、月球的半径分别为R1、R2,表面重力加速度分别为 g1、g2.小球在竖直平面内做圆周运动,设半径为r,能通过圆周最高点的临界状态是重力恰能提供小球所需的向心力,即mg=
,临界速度为
由于细线长度相同,即r相同,故地球和月球表面上的重力加速度之比为
,又根据
、体积
、密度
,可得地球和月球的平均密度之比
?
本题解析:
本题难度:一般
3、选择题 太阳对行星的引力提供行星绕太阳做匀速圆周运动的向心力,该向心力
A.与行星距太阳间的距离成正比
B.与行星距太阳间的距离平方成正比
C.与行星距太阳间的距离成反比
D.与行星距太阳间的距离平方成反比
参考答案:D
本题解析:
本题难度:一般
4、填空题 某天文台测得某行星的一颗卫星绕行星做匀速圆周运动,测得其轨道半径为R,周期为T,则其向心加速度为____________;行星的质量为____________。(万有引力恒量为G)
参考答案:
,
本题解析:
本题难度:一般
5、选择题 我国探月的“嫦娥工程”已启动,在不久的将来,我国宇航员将登上月球。假如宇航员在月球上测得摆长为l的单摆做小振幅振动的周期为T,将月球视为密度均匀、半径为r的球体,则月球的密度为
[? ]
A.
B.
C.
D.
参考答案:B
本题解析:
本题难度:一般