微信搜索关注"91考试网"公众号,领30元,获取公务员、事业编、教师等考试资料40G!
1、填空题 一辆汽车在平直的路面上做匀速直线运动,前方突然遇到障碍而紧急刹车,刹车后它离开O点的距离x随时间变化的关系为x=10+30t-2.5t2,则汽车刹车时的加速度大小为______m/s2,汽车刹车后在8s内经过的位移为______m.
参考答案:刹车后汽车离开O点的距离x随时间变化的关系为x=10+30t-2.5t2,对照位移时间关系公式x=v0t+12at2,有:v0=30m/s,a=-5m/s2;
汽车运动的总时间为:t总=305s=6s;
t=8s>6s,故8s内的位移等于6s内的位移,为:
x=v0t+12at2=30×6+12×(-5)×36=90m;
故答案为:5,90.
本题解析:
本题难度:一般
2、选择题 某乘客用手表估测火车的加速度,他先观测3分钟,发现火车前进了540 m;隔3分钟后又观测1分钟,发现火车前进了360 m,若火车在这7分钟内做匀加速直线运动,则这列火车加速度大小为( )
A.0.03 m/s2
B.0.01 m/s2
C.0.5 m/s2
D.0.6 m/s2
参考答案:B
本题解析:对匀变速直线运动,中间时刻的瞬时速度等于这段位移的平均速度,故此可知在1.5min时刻的瞬时速度
,6.5min时刻的瞬时速度
,由加速度公式得知火车的加速度
,所以只有选项B正确;
本题难度:一般
3、简答题 如图所示,物块A(可视为质点)从O点水平抛出,抛出后经0.6s抵达斜面上端P处时速度方向与斜面平行.此后物块紧贴斜面向下运动,又经过2s物块到达斜面底端时的速度为14m/s.已知固定斜面的倾角θ=37°(且sin37°=0.6,cos37°=0.8),g取10m/s2.试求:
(1)抛出点O与P点的竖直距离h;
(2)物块A从O点水平抛出的初速度v0;
(3)物块与斜面之间的动摩擦因数μ.
参考答案:(1)物块A从O点水平抛出做平抛运动,竖直方向做自由落体运动,则h=12gt2=12×10×0.62=1.8m
? (2)0.6s时物A竖直方向的分速度vy=gt=6m/s
? 因为,vyv0=tan37°
? 所以,v0=8m/s
? (3)物块在P点的速度为v=
本题解析:
本题难度:一般
4、选择题 物体自O点由静止开始作匀加速直线运动,A、B、C、D为其运动轨迹上的四点,测得AB=2m,BC=3m,CD=4m。且物体通过AB、BC、CD所用时间相等,则OA之间的距离为

A.1m?B.0.5m? C.9/8m ?D.2m
参考答案:C
本题解析:
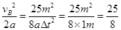
试题解析:由于小球做匀加速直线运动,设加速度为a,四个点间的时间间隔为△t,则a△t2=1m,B点的瞬时速度为vB=
,则vB2=2a×OB,故OB=
m,故OA之间的距离为OA=OB-AB=
m-2m=
m,C是正确的。
本题难度:一般
5、选择题 做匀加速直线运动的质点,运动了t s,则以下说法中正确的是(? )
A.它的初速度越大,通过的位移一定越大
B.它的加速度越大,通过的位移一定越大
C.它的末速度越大,通过的位移一定越大
D.它的平均速度越大,通过的位移一定越大
参考答案:D
本题解析:根据质点做匀变速直线运动,由s=v0t+
at2可知,t已知的情况下,v0和a未知,两个变量,所以不能说v0越大或者a越大,位移就越大,故A、B错.由公式s=
·t可知,同样有v0和vt两个变量,所以不能说vt越大,位移就越大,故C错.而根据s=
·t可知,t一定,平均速度越大,位移越大,故D正确.
本题难度:简单
If you cannot bite, never show your teeth. 不能咬人就别龇牙。