微信搜索关注"91考试网"公众号,领30元,获取公务员、事业编、教师等考试资料40G!
1、选择题 一物体沿直线运动,其v-t图像如图所示,已知在前2s内合外力对物体做的功为W,则

[? ]
A、从第1s末到第2s末合外力做功为
B、从第3s末到第5s末合外力做功为-W
C、从第5s末到第7s末合外力做功为W
D、从第3s末到第5s末合外力做功为
参考答案:BC
本题解析:
本题难度:简单
2、选择题 某人将重物由静止开始举高h,并获得速度υ,则下列说法中不正确的是( )
A.人对物体做的功等于物体机械能的增量
B.物体所受合外力对它做的功等于物体动能的增量
C.克服物体重力做的功等于物体重力势能的增量
D.合外力的功等于物体动能和势能的总和的增量
参考答案:A、根据除重力以外的力对物体做的 功等于物体机械能的变化量,所以人对物体做的功等于物体机械能的增加,故A正确;
B、根据动能定理可知:合外力对物体做的功等于物体动能的增加量,故B正确,D错误;
C、物体重力做的功等于重力势能的变化量,所以物体克服重力做的功等于物体重力势能的增加量,故C正确;
本题选错误的.
故选:D.
本题解析:
本题难度:一般
3、计算题 如图所示,在场强为E的竖直向下匀强电场中有一块水平放置的足够大的接地金属板,在金属板的正上方高为h处有一个小的放射源,放射源上方有一铅板,使放射源可以向水平及斜下方各个方向释放质量为m、电量为q初速度为v0的带电粒子,粒子最后落在金属板上,不计粒子重力,试求:
(1)粒子打在板上时的动能;
(2)计算落在金属板上的粒子图形的面积大小。

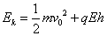
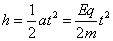
参考答案:解:(1)由动能定理得
(2)
圆形半径x=v0t
面积
本题解析:
本题难度:一般
4、简答题 斜雪道的长为25m,顶端高为15m,下端经过一小段圆弧过渡后与很长的水平雪道相接,如图所示.一滑雪运动员在倾斜雪道的顶端以水平速度v0=8m/s飞出,在落到倾斜雪道上时,运动员靠改变姿势进行缓冲使自己只保留沿斜面的分速度而不弹起.除缓冲外运动员可视为质点,过渡轨道光滑,其长度可忽略.设滑雪板与雪道的动摩擦因数μ=0.2,求
(1)运动员落到倾斜雪道上时速度大小
(2)运动员在水平雪道上滑行的距离(取g=10m/s2)

参考答案:(1)设平抛运动的水平分位移为x,竖直分位移为y,根据几何关系,有
y=x?tanθ=34x
运动员飞出后做平抛运动
x=v0t
y=12gt2
联立三式,得飞行时间:t=1.2 s
落点的x坐标:x1=v0t=9.6 m
落点离斜面顶端的距离:s1=12gt2sinθ=12m
落点距地面的高度:h1=(L-s1)sinθ=7.8m
接触斜面前的x分速度:vx=8m/s
y分速度:vy=gt=12m/s
沿斜面的速度大小为:vB=vxcosθ+vy sinθ=13.6m/s
即运动员落到倾斜雪道上时速度大小为13.6m/s.
(2)设运动员在水平雪道上运动的距离为s2,由功能关系得:
mgh1+12mvB2=μmgcosθ(l-s1)+μmgs2
解得:s2=74.8 m
即运动员在水平雪道上滑行的距离为74.8m.
本题解析:
本题难度:一般
5、计算题 如图,半径R=0.4m的圆盘水平放置,绕竖直轴OO′匀速转动,在圆心O正上方h=0.8m高处固定一水平轨道PQ,转轴和水平轨道交于O′点。一质量m=1kg的小车(可视为质点),在F=4N的水平恒力作用下,从O′左侧x0=2m处由静止开始沿轨道向右运动,当小车运动到O′点时,从小车上自由释放一小球,此时圆盘半径OA与x轴重合。规定经过O点水平向右为x轴正方向。小车与轨道间的动摩擦因数μ=0.2,g取10m/s2。
(1)若小球刚好落到A点,求小车运动到O′点的速度;
(2)为使小球刚好落在A点,圆盘转动的角速度应为多大?
(3)为使小球能落到圆盘上,求水平拉力F作用的距离范围。

参考答案:解:(1)小球离开小车后,由于惯性,将以离开小车时的速度作平抛运动


小车运动到O"点的速度
m/s
(2)为使小球刚好落在A点,则小球下落的时间为圆盘转动周期的整数倍,有
,其中k=1,2,3,……
即
rad/s,其中k=1,2,3,……
(3)小球若能落到圆盘上,其在O′点的速度范围是:0<v≤1m/s
设水平拉力作用的最小距离与最大距离分别为x1、x2,对应到达O"点的速度分别为0、1m/s
根据动能定理,有
代入数据解得
m
根据动能定理,有
代入数据解得
m或
m
则水平拉力F作用的距离范围1m<x≤1.125m
本题解析:
本题难度:困难
As every thread of gold is valuable, so every moment of time. 一寸光阴一寸金.