微信搜索关注"91考试网"公众号,领30元,获取公务员、事业编、教师等考试资料40G!
1、实验题 质量为m=60 kg的人站在质量为M=100 kg的小车上,一起以v=3 m/s的速度在光滑水平地面上做匀速直线运动.若人相对车以u="4" m/s的速率水平向后跳出,则车的速率变为__________.
2、实验题 总质量为M的热气球由于故障在高空以速度v竖直匀速下降,为了阻止其继续下降,在t=0时刻,从热气球中释放了一个质量为m的沙袋.不计空气阻力,当t=_____时,热气球停止下降,此时沙袋的速度为______(此时沙袋未着地).
3、选择题 一个静止的质量为m的不稳定原子核,当它完成一次α衰变,以速度v发射出一个质量为mα的α粒子后,其剩余部分的速度为
[? ]
A.
B.-v
C.
D.
4、选择题 甲、乙两船的质量均为M,它们都静止在平静的湖面上,质量为M的人从甲船跳到乙船上,再从乙船跳回甲船,经过多次跳跃后,最后人在乙船上.假设受的阻力可忽略,则 (? )
A.甲、乙两船的速度大小之比为3∶2
B.甲、乙两船(包括人)的动量大小之比为1∶1
C.甲、乙两船(包括人)的动量之和为零
D.因跳跃次数未知,故无法判断
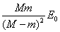
5、选择题 一个不稳定的原子核质量为M,处于静止状态,放出一个质量为m的粒子后反冲。已知放出的粒子的动能为E0,则原子核反冲的动能为
[? ]
A.E0
B.
C.
D.