微信搜索关注"91考试网"公众号,领30元,获取公务员、事业编、教师等考试资料40G!
1、选择题 有一物体做直线运动,其速度-时间图像如右图所示,则物体的加速度和速度方向相同的时间间隔是(?)

A.只有0<t<2s
B.只有2s<t<4s
C.0<t<2s和6s<t<8s
D.0<t<2s和5s<t<6s
2、选择题 如图是A、B两物体同时由同一地点向同一方向做直线运动的
图象,从图象上可知

[? ]
A、10s末A、B相遇
B、20s末A、B相遇
C、10s末A、B相遇前相距最远
D、两者相遇时离出发点160m
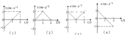
3、选择题 四个质点做直线运动,它们的速度-时间图象分别如下图所示,下列说法中正确的是

[? ]
A.四个质点在第1秒内的加速度大小相同
B.在第2秒末,质点(3)回到出发点
C.在第2秒内,质点(1)(3)(4)做加速运动
D.在第2秒末,质点(1)(2)离出发点位移相同
4、选择题 甲、乙两个物体在同一直线上运动,它们的速度图象如图所示,下列说法正确的是(?)

A.在0~t1时间内,甲的加速度大于乙的加速度,且方向相反
B.在0~t1时间内,甲、乙加速度方向相同
C.在0~t2时间内,甲、乙运动方向相同
D.在0~t2时间内,甲的加速度大于乙的加速度,且方向相同
5、填空题 物体做直线运动的V—t图象如图1—9所示。物体在OA段的运动是?,加速度为?m/s2;在AB段的加速度为?m/s2;在BC段做?运动,加速度为?m/s2。
