| 高考物理高频考点《电荷在电场中的偏转》高频考点预测(2017年最新版)(六) 2017-07-27 12:11:11 
              来源:91考试网   
              作者:www.91exam.org   【大 中 小 】  
               
               
                | 
微信搜索关注"91考试网"公众号,领30元,获取公务员、事业编、教师等考试资料40G!
 1、选择题  初速度为0的电子经电压U1加速后,垂直射入偏转电场,离开电场时的偏移量是Y,偏转板间距d,偏转电压为U2,板长为L,为了提高偏转的灵敏度(每单位偏转电压引起的偏移量即Y/ U2),可采用下列哪些办法
  A.增大偏转电压U2
 B.尽可能使板长L短一些
 C.尽可能使d小一些
 D.使加速电压U1变小一些
 
 |  
 参考答案:CD 
 本题解析:电子经过加速电压后,根据动能定理有: ,在偏转电场中,电子在水平方向上做匀速直线运动 ,故有:  ,在竖直方向上做初速度为零的匀加速直线运动,加速度为  ,偏转量  ,灵敏度  ,与偏转电压无关,应使L长一些,d小一些,  小一些,故AB错误CD正确 考点:考查了带电粒子在电场中的偏转与加速
 
 本题难度:一般 
 
 2、计算题  如图所示,电子(质量m,电量e)经加速电场(电压为U1)后由中央进入偏转电场(电压为U2),然后从下极板的边缘飞出偏转电场,已知偏转电场极板长度为L,板间距离为d.?求:
  (1)该电子在偏转电场运动的加速度大小;
 (2) 电子飞出电场时的动能.
 
 
 参考答案:略 
 本题解析:(1)?电子在加速电场中做变速直线运动,设在进入中央偏转电场的速度为
  ,加速度为  ,根据动能守恒定律得 
  ,化简得 
  , 对电子在中央偏转电场中运动进行分解:
 水平方向做匀速直线运动,
  , 竖直方向做变速直线运动,
  ,竖直方向末速度  , 由
  和  可得 电子在偏转电场运动的加速度大小
  , (2)?电子飞出电场时的速度为
 
  , 竖直方向的末速度
  , 所以
  , 电子飞出电场时的动能为
 
  
 本题难度:简单 
 
 3、简答题  ⑴设灯丝产生的热电子由阴极飞出时的初速度忽略不计,电子枪间的加速电压为U0。竖直偏转极板YY’和水平偏转极板XX’长都为
  ,YY’和XX’两极板间的距离均为d。YY’和XX’紧密相连,不计它们间的间隙。水平偏转极板XX’端到荧光屏的距离为D。如果在偏转极板XX’上不加电压,偏转析板YY’上也不加电压,电子将打到荧光屏上中点O(即坐标轴的坐标原点)。如果在偏转极板XX’上不加电压,只在偏转极板YY’上加一电压Uy(正值),电子将打到荧光屏y轴上正方向某一点,求光点的y坐标值。 ⑵如果在偏转极板YY’上不加电压,只在偏转极板XX’上加一电压Ux(正值),电子将打到荧光屏上x轴上正方向某一点,求光点的x坐标值。
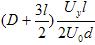
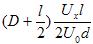
 ⑶若加速电压为U0=500V,两极板间的距离为d=1cm,偏转极板长
  =10cm,D=20cm,Uy=4sin10πt(V);而XX’方向的电压随时间的变化关系如图所示,求荧光屏上观察到的亮线的y—x的函数关系式。  
 
 参考答案:(1)
  (2)  (3)  (cm) 
 本题解析:(1)设电子从电子枪打出时的速度为 ,根据动能定理得:  电子进入偏转电场后作类平抛运动,离开偏转电场时的速度方向:
 
  离开电场时好象从极板中点沿末速度方向射出一样,所以:
 
  或
  (2)同理可得:
  (3)分析知:光点始终不会打到偏转极板上。将
  代入   得:?
  (cm)在  轴方向上,0~0.2s内  (V),代入  得:  (cm)?通过上面的计算可知,光点在荧光屏上参与了两个运动,  方向上作周期为  的简谐运动,而在  轴方向上,0~0.2S内从坐标原点开始作匀速直线运动,  方向运动的最大距离是2cm;以后每隔0.2S都从坐标原点开始作匀速直线运动。由于荧光屏上的光点有一定的暂留时间,所以在荧光屏上显示的图象是一个周期的完整的正弦曲线图象,即:  (cm) 
 本题难度:一般 
 
 4、填空题  如图所示匀强电场宽度 为l,场强大小为E、方向竖直向下且有足够长度。现有一质量为m,电量为q的正电荷以垂直于电场方向的初速度v0进入电场,穿出电场区域时有一偏转角。若将电场改为宽度仍为l的匀强磁场,磁场方向垂直纸面向外,再次使该正电荷以相同的初速度v0进入磁场区域,且穿过磁场区域时偏转角相同。不计正电荷的重力,则正电荷穿出电场(或磁场)区域时的偏转角θ的正切函数tanθ的表达式为___________;该匀强磁场的磁感应强度B的表达式为___________。
  
 
 参考答案: 
 本题解析: 
 本题难度:一般 
 
 5、选择题  两个带电量相等的平行板电容器,它们的正对面积分别为SA和SB,板长分别为LA和LB,两板间距分别为dA和dB,有两个电子以相同的初速度沿板长方向(与场强垂直)分别射入两电容器中,并且都穿过了电容器,下列结论正确的是[? ]
 A.两电子在电场中加速度之比等于
  B.两电子刚穿出电场时,侧向位移(沿电场方向位移)之比等于
  C.两电子在穿过电场的过程中,动量增量之比等于
  D.两电子在穿过电场的过程中,动能增量之比等于
  
 
 参考答案:ABD 
 本题解析: 
 本题难度:一般 
 
 |