微信搜索关注"91考试网"公众号,领30元,获取公务员、事业编、教师等考试资料40G!
1、选择题 关于人造地球卫星及其中物体的超重、失重问题,下面说法错误的是( )
A.在发射过程中向上加速时产生超重现象
B.在降落过程中向下减速时产生超重现象
C.进入轨道时作匀速圆周运动,产生失重现象
D.失重是由于地球对卫星内物体的作用力减小而引起的
参考答案:A、在发射人造地球卫星过程中,卫星做加速运动,加速度方向向上,支持力大于重力,故超重,故 A正确;
B、在降落过程中,卫星做减速运动,加速度方向向上,支持力大于重力,故超重,故B正确;
C、进入轨道时作匀速圆周运动,重力提供向心力,此时完全失重,故C正确;
D、地球对卫星内物体的作用力是万有引力,万有引力不发生变化,故D错误.
本题选不正确的,
故选D.
本题解析:
本题难度:一般
2、选择题 两个质量均匀的球体相距较远的距离r,它们之间的万有引力为10-8N.若它们的质量、距离都增加为原来的2倍,则它们间的万有引力为( )
A.4×10-8N
B.10-8N
C.2×10-8N
D.10-4N
参考答案:设两个物体的质量分别为m1,m2;
未变时:Gm1m2r2=10-8N①
变化后:G2m12m2(2r)2=F②
由①②联立得:F=10-8N
故选:B
本题解析:
本题难度:一般
3、选择题 2013年12月2日1时30分,搭载月球车和着陆器(如下图甲)的嫦娥三号月球探测器从西昌卫星发射中心升空,飞行约18min后,常娥三号进入如下图乙所示的地月转移轨道AB,A为入口点,B为出口点,嫦娥三号在B点经过近月制动,进入距离月面h=100公里的环月圆轨道,其运行的周期为T;然后择机在月球虹湾地区实行软着陆,展开月面巡视勘察.若以R表示月球半径,忽略月球自转及地球对它的影响.下列说法正确的是(?)

A.携带月球车的着陆器在月球上着陆过程中一直处于失重状态
B.物体在月球表面自由下落的加速度大小为
C.月球的第一宇宙速度为
D.由于月球表面重力加速度较小,故月球车在月球上执行巡视探测任务时出去失重状态
参考答案:B
本题解析:由题意知,月球车在着路的过程中有减速的过程,故有超重状态,所以A错误;根据月球车做圆周运动的规律
,又
联立解得月球表面的重力加速度
,所以B正确;月球的第一宇宙速度
,所以C错误;月球车在月球上执行巡视探测任务时,没有竖直方向的加速度,故不是失重状态,所以D错误。
本题难度:一般
4、选择题 如图所示,a、b、c是大气层外圆形轨道上运行的三颗人造卫星,a、b质量相同且小于c的质量,下面说法中正确的是(? )

A.b、c的线速度大小相等且大于a的线速度
B.b、c的向心加速度相等且大于a的向心加速度
C.b、c的周期相等且大于a的周期
D.b、c的向心力相等且大于a的向心力
参考答案:C
本题解析:由公式
得
所以a的线速度要大于b和c的线速度
A错。由公式
得
所以b和c的向心加速度相等且小于a的向心加速度,B错。由公式
得
所以b、c的周期相等且大于a的周期,C正确。由公式
得c的向心力大于b的向心力,a的向心力大于b的向心力,D错。
本题难度:简单
5、计算题 土星周围有许多大小不等的岩石颗粒,其绕土星的运动可视为圆周运动。其中有两个岩石颗粒A和B与土星中心距离分别为rA=8.0×104 km和rB=1.2×105 km。忽略所有岩石颗粒间的相互作用。(结果可用根式表示)
(1)求岩石颗粒A和B的线速度之比;
(2)求岩石颗粒A和B的周期之比;
(3)土星探测器上有一物体,在地球上重为10 N,推算出他在距土星中心3.2×105 km处受到土星的引力为0.38 N。已知地球半径为6.4×103 km,请估算土星质量是地球质量的多少倍?
参考答案:
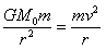
解:(1)设土星质量为M0,颗粒质量为m,颗粒距土星中心距离为r,线速度为v,根据牛顿第二定律和万有引力定律:
解得:
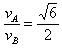
对于A、B两颗粒分别有:
和
得:
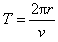
(2)设颗粒绕土星作圆周运动的周期为T,则:
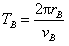
对于A、B两颗粒分别有:
和
得:
(3)设地球质量为M,地球半径为r0,地球上物体的重力可视为万有引力,探测器上物体质量为m0,在地球表面重力为G0,距土星中心r0"=3.2×105 km处的引力为G0",根据万有引力定律:
,
解得:
本题解析:
本题难度:一般
Who chatters to you will chatter of you. 对你论人是非者,必将对人论你是非。