微信搜索关注"91考试网"公众号,领30元,获取公务员、事业编、教师等考试资料40G!
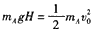
1、简答题 如图所示,质量均为m的物块A和B用劲度系数为k的轻弹簧连接起来;将它们悬于空中静止,弹簧处于原长状态,A距地面高度h,现同时释放两物块,A与地面碰撞速度立即变为零,由于B的反弹,使A刚好能离开地面。若将B物块换为质量为3m的物块C(图中未画出),仍将它们悬于空中静止且弹簧为原长,A距地面高度仍为h,再同时释放两物块,A与地面碰撞后仍立即变为零。求:当A刚要离开地面时物块C的速度。
参考答案:
本题解析:当A与地面相碰瞬间,弹簧刚好处于原长
此时
…………………………①
当A刚好要离开地面时,此时B的速度为零,设此时弹簧的伸长量为X1,有
mg=kX1……………………②
从A与地面碰撞后到A刚好能离开地面过程中,由能量守恒:
………………………………③
把B换成C弹簧处于原长时,C的速度
………………………………………………④
当A刚好离地时有:
mg=Kx2……………………………………………………⑤
从A与地面碰撞后到A刚好能离开地面过程中,由能量守恒:
……………………⑥
X1=X2? Ep1=Ep2……………………………………………………⑦
得
………………………………⑧
①④各1分,②⑤⑦⑧式各2分,③⑥式4分
本题难度:一般
2、选择题 在一条直线上相向运动的甲、乙两个小球,它们的动能相等,已知甲球的质量大于乙球的质量,它们正碰后可能发生的情况是
[? ]
A.甲球停下,乙球反向运动
B.甲球反向运动,乙球停下
C.甲、乙两球都反向运动
D.甲、乙两球都反向运动,且动能仍相等
参考答案:AC
本题解析:
本题难度:一般
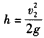
3、简答题 如图所示,质量为0-3 kg的小车静止在光滑的轨道上,在它下面挂一个质量为0.1 kg的小球B,车旁有一支架被吲定在轨道上,支架上0点悬挂一质量也为0.1 kg的小球A,两球的球心至悬挂点的距离均为0.2 m.当两球静止时刚好相切,两球心位于同一水平线上,两条悬线竖直且相互平行.若将A球向左拉至图中虚线所示位置后从静止释放,与B球发生碰撞,碰撞中无机械能损失,求碰后B球上升的最大高度和小车获得的最火速度.(重力加速度g="10" m/S2)
参考答案:0.19m?1.12m/s
本题解析:如答图17所示,A球从静止释放后自由落至C点悬线绷直,此时速度为vC,
?则
解得
。
在绷直的过程中沿线的速度分量减为零,
A球将以切向速度v1沿圆弧运动,且
,
A球从C点运动到最低点与B球碰撞前机
械能守恒,可求出A球与B球碰前的速度V2,
即
解得
m/s
因A、B两球发生无机械能损失的碰撞且mA=mB,所以它们的速度交换,即碰后A球的速度为零,B球的速度为
m/s,对B球和小车组成的系统在水平方向有动量守恒和机械能守恒,两者有共同速度u。B球上升到最高点,设上升高度为h,有
?
解得
在B球回摆到最低点的过程中,悬线拉力会使小车加速,当B求回到最低点时,小车有最大速度vm,设此时B球回到最低点的速度大小为v3,根据动量守恒定律和机械能守恒定律有
?
解得
1.12m/s
本题难度:一般
4、选择题 如图所示,一块质量为M的木板停在光滑的水平面上,木板的左端有挡板,挡板上固定一个小弹簧。一个质量为m的小物块(可视为质点)以水平速度υ0从木板的右端开始向左运动,与弹簧碰撞后(弹簧处于弹性限度内),最终又恰好停在木板的右端。根据上述情景和已知量,可以求出

[? ]
A.弹簧的劲度系数
B.弹簧的最大弹性势能
C.木板和小物块之间的动摩擦因数
D.木板和小物块组成的系统最终损失的机械能
参考答案:BD
本题解析:
本题难度:一般
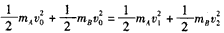
5、计算题 小球A和B的质量分别为mA和mB,且mA>mB。在某高度处将A和B先后从静止释放小球A与水平地面碰撞后向上弹回,在释放处下方与释放处距离为H的地方恰好与正在下落的小球B发生正碰。设所有碰撞都是弹性的,碰撞时间极短。求小球A、B碰撞后B上升的最大高度。
参考答案:解:根据题意,由运动学规律可知,小球A与B碰撞前的速度大小相等,设均为v0。由机械能守恒有
? ①
设小球A与B碰撞后的速度分别为v1和v2,以竖直向上方向为正,由动量守恒有
mAv0+mB(-v0)=mAv1+mBv2 ②
由于两球碰撞过程中能量守恒,故
? ③
联立②③式得
? ④
?设小球B能上升的最大高度为h,由运动学公式有
⑤
由①④⑤式得
? ⑥
本题解析:
本题难度:困难