微信搜索关注"91考试网"公众号,领30元,获取公务员、事业编、教师等考试资料40G!
1、计算题 将质量为M=30kg、长为L=2.0m的平板车放在光滑水平地面上,车的左端放一质量m=5kg的物体,m与M之间的动摩擦因数μ=0.3,今用力F=20N的水平拉力试图将m拉离车的右端,车的右端距固定墙0.25m,车与墙发生碰撞时没有能量损失。求:
(1)车与墙碰撞过程中的动量变化量;
(2)m离开车的右端力F的瞬时功率;
(3)m离开车的右端,所需要的时间;
(4)车与墙发生碰撞后到m在离开车的右端过程中,系统由于摩擦产生的热量。

参考答案:(1)30kg·m/s
(2)40w
(3)2s
(4)40J
本题解析:
本题难度:困难
2、计算题 如图,倾角为θ的斜面固定。有n个质量都为m的相同的小木块(可视为质点)放置在斜面上。相邻两小木块间距离都为l,最下端的木块距底端也是l,小木块与斜面间的动摩擦因数都为μ。在开始时刻,第一个小木块从斜面顶端以初速度v0沿斜面下滑,其余所有木块都静止,由于第一个木块的下滑将依次引起一系列的碰撞。设每次碰撞的时间极短,在每次碰撞后,发生碰撞的木块都粘在一起运动,直到最后第n个木块到达底端时,速度刚好为零。己知重力加速度为g。求:
(1)第一次碰撞后小木块l的速度大小v;
(2)从第一个小木块开始运动到第一次碰撞后系统损失的机械能△E;
(3)发生一系列碰撞后,直到最后第n个木块到达底端,在整个过程中,由于碰撞所损失的总机械能△E总。

参考答案:解:(1)设小木块1碰前的速度为v1,从开始运动到碰前,根据动能定理

对小木块1和2,由动量守恒
求出
(2)碰撞前损失的机械能为
因碰撞损失的机械能为
求出
(3)对n个木块碰撞的全过程
重力做的总功WG=
克服摩擦做的总功
根据功与能的关系
由以上各式求出
本题解析:
本题难度:困难
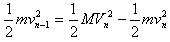
3、计算题 如图所示,质量为m的由绝缘材料制成的球与质量为M=19m的金属球并排悬挂。现将绝缘球拉至与竖直方向成θ=60°的位置自由释放,下摆后在最低点处与金属球发生弹性碰撞。在平衡位置附近存在垂直于纸面的磁场。已知由于磁场的阻尼作用,金属球将于再次碰撞前停在最低点处。求经过几次碰撞后绝缘球偏离竖直方向的最大角度将小于45°。

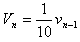
参考答案:解:设在第n次碰撞前绝缘球的速度为vn-1,碰撞后绝缘球、金属球的速度分别为vn、Vn。由于碰撞过程中动量守恒、碰撞前后动能相等,设速度向左,则


解得:
,
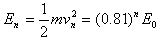
第n次碰撞后绝缘球的动能为:
E0为第1次碰撞前的动能,即初始能量
绝缘球在θ=θ0=60°与θ=45°处的势能之比为
经n次碰撞后有:
易算出(0.81)2=0656,(0.81)3=0.531,因此,经过3次碰撞后θ小于45°
本题解析:
本题难度:困难
4、计算题 质量分别为m1和m2的两个小球在光滑的水平面上分别以速度v1、v2同向向右运动并发生对心碰撞,碰后m2被右侧的墙原速率弹回,又与m1相碰,碰后两球都静止。求:两球第一次碰后m1球的速度大小。
参考答案:解:根据动量守恒定律得:m1v1+m2v2=m1v1"+m2v2",m1v1"=m2v2"
联立解得
本题解析:
本题难度:一般
5、计算题 (选修3-5选做题)
质量为m1=1.0kg和m2(未知)的两个物体在光滑的水平面上正碰,碰撞时间不计,其χ-t (位移-时间) 图象如图所示,试通过计算回答下列问题:
(1)m2等于多少千克?
(2)质量为m1的物体在碰撞过程中动量变化量是多少?
(3)碰撞过程是弹性碰撞还是非弹性碰撞?

参考答案:解:(1)碰撞前m2是静止的,m1的速度为v1=4m/s?
碰后m1的速度
?
m2的速度
根据动量守恒定律有
?


(2)
(3)
?
?
是弹性碰撞
本题解析:
本题难度:一般