微信搜索关注"91考试网"公众号,领30元,获取公务员、事业编、教师等考试资料40G!
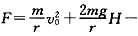
1、计算题 某校同学利用如图甲所示的实验装置研究一光滑小球运动时对轨道压力的规律,该装置位于竖直面内, 倾斜轨道AB和圆弧轨道BC在B点相切,圆轨道的半径为r,让质量为m的小球。从轨道AB上高H处的A点滑下,用力传感器测出小球经过最高点C时对轨道的压力。改变小球下滑的初速度v0,可测出小球经过最 高点C时对轨道压力F的对应值,g取10m/s2。
(1)试写出压力F的大小随小球初速度v0变化的关系式;
(2)若测得小球质量m=0.2kg,圆弧半径r=0.4m,压力F的最小值为5N,试确定小球下落的高度H,并在乙图的坐标上定性地画出F-v0的图象。

参考答案:解:(1)光滑小球从A点到C点的过程中机械能守恒,则
①
根据牛顿第二定律,小球经过C点时满足:
②
由①②解得:
③
(2)当压力最小时,有v0=0,所以
④
解得H=l.5m⑤
函数图象如图所示
本题解析:
本题难度:一般
2、选择题 如图所示,轻杆的一端有一质量m=1kg的小球,另一端有光滑的固定轴O.现给球一初速度,使球和杆一起绕O轴在竖直面内转动,若转动半径R=0.5m,不计空气阻力,g=10m/s2,则以下说法正确的是(?)

A.无论给球多大的初速度,在最高点杆对球的弹力都不可能为零
B.无论给球多大的初速度,杆弹力方向一定沿杆
C.若给球4m/s的初速度,则球在最高点受到杆向下的拉力作用
D.若给球4.5m/s的初速度,球不能做完整圆周运动
参考答案:B
本题解析:当球运动到最高点时,若速度
,此时杆对球的弹力恰好等于零,A错误;由于杆可绕O转动,此种情况下杆的弹力一定沿着杆,B正确,,若给球4m/s的初速度,由于
,可知小球根本不能运动到最高点,C错误;由于球杆模型到过最高点的速度可以趋近于零,当初速度为4.5m/s,此时由于
,因此物体能到达最高点,D错误
本题难度:一般
3、计算题 质量为m,带电量为+q的小球,从足够长的倾角为
的光滑绝缘斜面上由静止下滑,整个斜面置于方向水平向外的匀强磁场中,磁感应强度为B,如图所示,若带电小球下滑后某时刻对斜面的压力恰好为零,求小球从开始至此过程中沿斜面下滑的距离。
参考答案:
本题解析:当小球对斜面的压力恰好为零时,对其进行受力分析,将重力分解,如图所示
由题意知
?①
小球沿斜面向下运动过程中机械能守恒
?②
由①②得
?
点评:关键是小球对斜面的压力恰好为零时,从而确定洛伦兹力的大小,进而得出小球对斜面的压力恰好为零时的速度大小,再由动能定理计算位移的大小。由于小球此过程中做匀加速直线运动,也可用运动学公式计算位移的大小。
本题难度:简单
4、计算题 一条长为0.80m的轻绳一端固定在
点,另一端连接一质量
=0.10kg的小球,悬点
距离水平地面的高度H = 1.00m。开始时小球处于
点,此时轻绳拉直处于水平方向上,如图所示。让小球从静止释放,当小球运动到
点时,轻绳碰到悬点
正下方一个固定的钉子P时立刻断裂。不计轻绳断裂的能量损失,取重力加速度g=10m/s2。求:

(1)当小球运动到
点时的速度大小;
(2)绳断裂后球从
点抛出并落在水平地面的C点,求C点与
点之间的水平距离;
(3)若OP=0.6m,轻绳碰到钉子P时绳中拉力达到所能承受的最大拉力断裂,求轻绳能承受的最大拉力。
参考答案:(1)? 4.0 m/s (2) 0.80m ?(3)9N
本题解析:(1)设小球运动到B点时的速度大小
,由机械能守恒定律得
?①
解得小球运动到B点时的速度大小
=" 4.0" m/s?②
(2)小球从B点做平抛运动,由运动学规律得
?③
?④?
解得C点与B点之间的水平距离
=0.80m?⑤
(3)若轻绳碰到钉子时,轻绳的拉力恰好到达最大值Fm,由牛顿定律
?⑥
r=l-d?⑦
联立解得 Fm=9N
本题难度:一般
5、选择题 如图所示,质量为m和3m的小球A和B,系在长为L的细线两端,桌面水平光滑,高h(h<L),A球无初速度从桌边滑下,落在沙地上静止不动,则B球离开桌边的速度为

[? ]
A.
B.
C.
D.
参考答案:A
本题解析:
本题难度:一般
It is a silly fish that is caught twice with the same bait. 蠢人才上两回当。