微信搜索关注"91考试网"公众号,领30元,获取公务员、事业编、教师等考试资料40G!
1、选择题 物体自斜面顶端由静止开始做匀加速下滑,滑到斜面底端,一共用去2s时间,物体从斜面顶端滑到斜面中点处所用的时间是(?)
A.0.25s
B.1s
C.
s
D.2(
-1)s
参考答案:C
本题解析:设斜面长度为x,根据匀变速直线运动的规律
,
,t=2s,联立可求
,所以C正确。
本题难度:一般
2、计算题 如图所示,底座A上装有L=0.5m长的的直立杆,底座和杆的总质量为M=1.0kg,底座高度不计,杆上套有质量为m=0.2kg的小环B,小环与杆之间有大小恒定的摩擦力。当小环从底座上以v0=4.0m/s的初速度向上飞起时,恰好能到达杆顶,然后沿杆下降,取g=10m/s2,求:

①在环飞起过程中,底座对水平面的压力;
②此环下降过程需要多长时间。
参考答案:(1) 8.8N;(2)0.5s
本题解析:
(1)对环进行受力分析,环受重力及杆给环向下的摩擦力,上升阶段加速度大小为a1,由牛顿第二定律,得 
由运动学公式:
解得a1="16.0m/s2," Ff=1.2N
对底座进行受力分析,由平衡条件得:Mg=FN+Ff,解得FN="8.8N"
又由牛顿第三定律知,底座对水平面压力为8.8N
(2)对环受力分析,设环下降过程的时间是t,下降阶段加速度为a2,则有
,
解得a2="4.0m/s2," t ="0.5s"
考点:本题考查了牛顿第二、第三定律及匀变速直线运动规律的应用。
本题难度:一般
3、简答题 在某城市的一条道路上,规定车辆行驶速度不得超过30km/h.在一次交通事故中,肇事车是一辆卡车,测得这辆卡车紧急刹车(车轮被抱死)时留下的刹车痕迹长为7.2m;经过测试得知这种轮胎与路面间的动摩擦因数为0.7.请判断该车是否超速(取g=10m∕s2).
参考答案:汽车刹车过程做匀减速直线运动,设加速度大小为a,
由牛顿第二定律得:μmg=ma
由运动学公式得:0-υ02=2ax
联立解得汽车的初速度大小为:υ0=
本题解析:
本题难度:一般
4、计算题 一质点在外力作用下沿直线做匀加速运动,从某时刻开始计时,测得该质点在第1s内的位移为2.0 m,第5s内和第6s内的位移之和为11.2m。求:
(1)该质点加速度的大小;
(2)该质点在第6s内的位移大小。
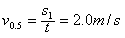
参考答案:解:(1)由质点在第1s内的位移s1=2.0 m
则质点在t=0.5s时的速度
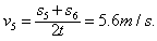
设质点在第5s内和第6s内的位移分别为s5、s6
质点在t=5 s时的速度
质点的加速度
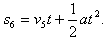
(2)由运动学公式有
解得:s6=6m
本题解析:
本题难度:困难
5、简答题 汽车由静止开始在平直的公路上行驶,0~60s内汽车的加速度随时间变化的图线如下图所示.画出汽车在0~60s内的v-t图线.
参考答案:

汽车的运动情况是:0-10s内汽车做初速度为零的加速度为2m/s2的匀加速运动,10s末汽车的速度为v=at=2×10m/s=20m/s;
10-40s内汽车的加速度为零,做速度为20m/s的匀速直线运动;
在40-60时间内,汽车做初速度为20m/s的加速度为-1m/s2的匀减速运动,60s末汽车的速度v=v0+at=20-1×20(m/s)=0.
画出汽车在0~60s内的v-t图线如图所示.
答:画出汽车在0~60s内的v-t图线如图所示.
本题解析:
本题难度:一般