微信搜索关注"91考试网"公众号,领30元,获取公务员、事业编、教师等考试资料40G!
1、实验题 (13分)请你与某小组的同学共同探究乙醇与乙酸的酯化反应实验:

(1) 请你根据图示,补画实验室制取乙酸乙酯的装置图。
(2) 其中小试管中装入的物质是____________;其主要作用是?、?____________、__________________________。
(3) 分离小试管中制取的乙酸乙酯应使用的仪器叫做______________;分离完毕,应从该仪器________________ (填“下口放”或“上口倒”)出。
(4) 实验完毕,发现大试管中的反应液有些变黑,其原因是________________________。
(5) 该实验中,若用3mol乙醇和1mol乙酸在浓硫酸作用下加热,充分反应后,能否生成1mol乙酸乙酯? (填“能”或“不能”),原因是 ? (不考虑原料损耗)。
(6) 写出该反应的化学方程式:?
2、选择题 据《华盛顿邮报》报道,美国食品与药物管理局2010年2月公布了一份草拟的评估报告,指出塑料奶瓶和婴儿奶粉罐普遍存在的化学物质双酚A(如下图3),并不会对婴儿或成人的健康构成威胁。关于双酚A的下列说法正确的是

[? ]
A.该化合物属于芳香烃
B.该化合物与三氯化铁溶液会发生显色反应
C.双酚A能使溴水褪色,但不能使酸性高锰酸钾溶液褪色
D.1mol双酚A最多可与3mol 浓溴水发生反应
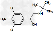
3、选择题 瘦肉精在医学上称为“盐酸克伦特罗”。它是白色或类白色的结晶粉末,无臭、味苦,熔点161℃,溶于水、乙醇,微溶于丙酮,不溶于乙醚,属β-兴奋剂类激素。是严重危害畜牧业健康发展和畜产品安全的毒品。其化学成分如图,下列有关盐酸克伦特罗说法错误的是

[? ]
A.分子式为C12H18Cl2N2O?
B.分子结构中有1个手性碳原子?
C.能发生加成、取代、消去、氧化?
D.能溶于所有有机溶剂
4、选择题 将
转变为
,下列操作正确的是?(?)
A.与氢氧化钠共热后通足量的二氧化碳
B.溶解,加热通足量的二氧化硫气体
C.与稀硫酸共热后加足量氢氧化钠
D.与稀硫酸共热后加足量碳酸钠
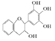
5、选择题 茶多酚是目前尚不能人工合成的纯天然、多功能、高效能的抗氧化剂和自由基净化剂。其中没食子儿茶素(EGC)的结构如图所示。关于EGC的下列叙述中正确的是

[? ]
A.分子中所有的原子共面
B.1 mol EGC与4 mol NaOH恰好完全反应
C.易发生氧化反应和取代反应,能发生加成反应
D.遇FeCl3溶液不发生显色反应